ext2 vs ext3 vs RAID5 (software) benchmark

Started by Manuel Sugawaraalmost 24 years ago3 messages
#1Manuel Sugawara
masm@fciencias.unam.mx
1 attachment(s)

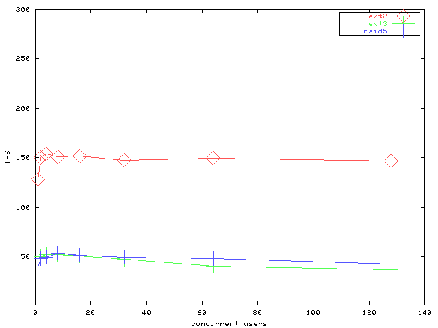
Today I made some benchmarks using Tatsuo's scripts to test the
performance of ext2 vs ext3 vs software RAID5. Attached is the gnuplot
output. Note that the RAID5 setup has the WAL in another partition
with RAID1 and both are spread across three SCSI disks. The machine is
a dual pentium III 1 Ghz with 2Gb in RAM running RedHat 7.2 and
PostgreSQL 7.2.

Regards,
Manuel.

Attachments:

pgbench.pngimage/pngDownload
�PNG


IHDR������sBIT�L��0PLTE�����U�U��UUU��U�UUU�UUU������������I�N�.tEXtSoftwaregnuplot Unix version 3.7 patchlevel 1C����IDATx�������F�P2�� ���_�&�1���G���rcc16|IQ9Y��B �
��pENQ�k��m����+��}&o�M`{{@�N���[6^�ka���~6�n�b��Z7��5��K6g�MXU���@�)o�,%?���S��KF�@���/���3<�%�/�=�0R+G�E'��
n���a�z� �cM`5+�-�
�������������Y~�W��*|S�H����@zU��=���R 0������r$�<��	Km��P[;�N �����'��)[�<+/pH�,o���l�t�N�N��E�{�����h2��5���w�3�D``^��{�>]|���F��Up��N��P�o*�F`d^���p�<��#0������S�"p�R����F��m�@�� P�"yu��]���',+8���;L��������m|�_C����������7}E�������������q���0+�|����d#�|
m��6p��"��)���w
n���#p#A��E(�@� P�"A�E(�@� P�"A�E(�@� P�"A�E2]�������'��P-�����d�p��&�#���U������1��!o&����'��c�O$#����u�?��"A�E(�@� P�"A�E(�@� P�"A�E(�@� P�"A�E(�@� P�"A�E(�@� P�"A�E(�@� P�"A�E(�@� P�"A�E(�@� P�"YX��%@-,-��"���� ��k�;�^cq!n����a!n��"A�E(�@� P�"A�E(�@� P�"A�E(�@� P�"A�E(�@� P�"A�E(�@� P�"A�E(�@� P�"A�E(�E`��yW���W����A`I��A`�����iXC+�+?92���ZxH�U����n��/��
O��DX�������/��]���t��TXU������Q`��W�+�������@���@Ra��1�z����x�&���U\g�*}5.a��f�������o���z{S�����C�U��-\��{���	��W��
���(C__}��fP��H���Z�?@>&U��6�q�����.]+��+;w�5�z�C>&��p��M���B6e����L��/C��e�=���{~����\v#�jRe�m`�kMW.��<�yr10YG:�u�>C#P��Nc�'����<�3SX��D`�����:�1���In����J�j����\p����e)2����9�����gs�l�N��JW�C[jW8_��^<�80��l�y-��I������[Bx�N��9\7��w �����8d8	��9����g�-�>ar����:���a}w*lyFZ��G�ohs�w 1�4'�T�$���{/��x3��j�x�|�}8�(]�P���^��@�
��fM�������O�:3�SC���c��E���cFz�,�_��7�A�E(�@��������9l��V�e�&��G|#L+B0�E`Y�p��?�9�E�0�!�1�\�G��.�,��X�����@Bp�U�e�$��E`|Slm`��l�p���L��8��a�!s��	���0�q>�������o"/?�����6��@� P�"A�E(�@� P�"A�E(�@� P�"A�E(�@��6�%@�|���@7^���#0,�����@��.7
�37�M�7��R�
4��DZza�E(�@� P�"A�E(�@� P�"A�E(�@� P�"A�E(�@� P�"A�E(�@� P�"A�E(�@� P�"A�E(�@� Pd������� Pd��S�~���'O��6��:�`��!p�-���:I����W^g(b�'��(�U�u��'���7�����u�'�W2�L��m�,O������\�^/����h�F�<.�����#�t	QX��K�l�N�P�m���>u�|��}��/��T�������L�>��:��^��������uLt�t�����V��
��u�O#%��0���}i���C�8^`���@7n���<|���g��H3|K��:��������~d���?�;B�i�8���
�( �3�|�PQ�������u�B������x��TCm.=m���������~?,0�5ww"��twF���m`J��t{8>��+���Bi��
���a��}��5,o\���QU`�r���p<n �(t&���9�'I��v+��<%w�Y`d������1{��^Rv�5�</�?��o`����2�~���������.dmS����mfg�h�A����� P<��x<�@@�E(��W�@� P�"A�E(�@� P�"A�E(�@� P�"A�E(�@� P�"A�E(�@� P��-�mJ����>�d�%#P,�b�Kv-d1
��a��u��)�	]\��Y%7��xNBW�.������[l)[c�M��:�)��>�o�xJ��0]�+,ap���t��e�N"gh����!e=��;@�:��8g��[��R�p�$�I�ZKnB2C�]^O�l�c6���?���+uVK�e��4d���_O�lcn�)�-��*����i�
�ea�[��'&����Ls/�:�v��z+'h�x���W���M��s���V��7��-xx�8o�	�	������v8#�{�R�@3�f��%�m�f��S'~B�Y�;�=����^`�Z�Mw���k��#����)�f�������/�!�N�zD��kX;}IEND�B`�
#2Neil Conway
nconway@klamath.dyndns.org
In reply to: Manuel Sugawara (#1)
Re: ext2 vs ext3 vs RAID5 (software) benchmark

On Tue, 2002-03-05 at 20:01, Manuel Sugawara wrote:

Today I made some benchmarks using Tatsuo's scripts to test the
performance of ext2 vs ext3 vs software RAID5. Attached is the gnuplot
output. Note that the RAID5 setup has the WAL in another partition
with RAID1 and both are spread across three SCSI disks. The machine is
a dual pentium III 1 Ghz with 2Gb in RAM running RedHat 7.2 and
PostgreSQL 7.2.

The poor performance of ext3 is interesting. You could try mounting ext3
with "data=writeback", as there is no benefit to preserving write
ordering with Postgres (because it has WAL, anyway). That should improve
performance slightly, but certainly not by a factor of 3.

In fact, I can reproduce these results locally (for ext2 & ext3): ext3
tops out at around 11 TPS, ext2 at 21 to 29 TPS, and ext3 with
data=writeback at 16 TPS (running pgbench, 100 transactions). I wasn't
aware that the speed penalty for ext3 was this high...

For the very simple benchmarks I was running, ext3's poor performance
might be explained by the more conservative buffering used by ext3
(flushing buffers to disk every 5 seconds, not every 30 seconds like
with ext2) -- but I'm sure that your benchmarks were running for a much
longer period of time, right? BTW, what are "Tatsuo's scripts", which
you said you were using?

It would be interesting to see the results using other filesystems, like
XFS or ReiserFS. If you can gather some more data, you could send this
off to the linux kernel list, they would probably be interested in ext3
performance under "real" load.

Cheers,

Neil

--
Neil Conway <neilconway@rogers.com>
PGP Key ID: DB3C29FC

#3Thomas Lockhart
lockhart@fourpalms.org
In reply to: Manuel Sugawara (#1)
Re: ext2 vs ext3 vs RAID5 (software) benchmark

...

It would be interesting to see the results using other filesystems, like
XFS or ReiserFS.

Hmm, since you mention XFS: are y'all aware of kernel and XFS troubles
under Linux? I've seen disk corruption troubles using Mandrake 2.4.8-xx
kernel and whatever XFS shipped with Mdk8.1. I'm not sure if the
troubles have been fixed in more recent kernels and XFS packages...

- Thomas