More speedups for tuple deformation
Around this time last year I worked on a series of patches for v18 to
speed up tuple deformation. That involved about 5 separate patches,
the main 3 of which were 5983a4cff (CompactAttribute), db448ce5a
(faster offset aligning), and 58a359e58 (inline various deforming
loops). The latter of those 3 changed slot_deform_heap_tuple() to add
dedicated deforming loops for !slow mode and for tuples that don't
have the HEAP_HASNULL bit set.
When I was working on that, I wondered if it might be better to
precalculate the attcacheoff rather than doing it in the deforming
loop. I've finally written some code to do this, and I'm now ready to
share some results.
0001:
This introduces a function named TupleDescFinalize(), which must be
called after a TupleDesc has been created or changed. This function
pre-calculates the attcacheoff for all fixed-width attributes and
records the attnum of the first attribute without a cached offset (the
first varlena or cstring attribute). This allows the code in the
deforming loops which was setting CompactAttribute's attcacheoff to be
removed and allows a dedicated loop to process all attributes with an
attcacheoff before falling through to the loop that handles
non-attcacheoff attributes, which has to calculate the offset and
alignment manually. If the tuple has a NULL value before the last
attribute with a cached offset, then we can only use the attcacheoff
until the NULL attribute.
The expectation here is that knowing the offset beforehand is faster
than calculating it each time. Calculating the offset requires first
aligning the current offset according to the attributes attalign
value, then once we've called fetch_att() to get the Datum value, we
need to add the length of the attribute to skip forward to the next
attribute. There's not much opportunity for instruction-level
parallelism there due to the dependency on the previous calculation.
The primary optimisation in 0001 is that it adds a dedicated tight
loop to deform as many attributes with a cache offset as possible
before breaking out that loop to deform any remaining attributes
without using any cached offset.
0002:
After thinking about 0001 for a while, I wondered if we could do
better than resorting to having to check att_isnull() for every
attribute after we find the first NULL. What if the tuple has a NULL
quite early on, then no NULLs after that. It would be good if we
looked ahead in the tuple's NULL bitmap to identify exactly if and
when the next NULL attribute occurs and loop without checking
att_isnull() until that attribute.
Effectively, what I came up with was something like:
for (;;)
{
for(; attnum < nextNullAttr; attnum++)
{
// do fetch_att() without checking for NULLs
}
if (attnum >= natts)
break;
for(; attnum < nextNullSeqEnd; attnum++)
isnull[attnum] = true;
next_null_until(bp, attnum, natts, &nextNullAttr, &nextNullSeqEnd);
}
The next_null_until() function looks at the NULL bitmap starting at
attnum and sets nextNullAttr to the next NULL and nextNullSeqEnd to
the first attribute to the first non-NULL after the NULL. If there are
no more NULLs, then nextNullAttr is set to natts, which allows the
outer loop to complete.
Test #5 seems to do well with this code, but I wasn't impressed with
most of the other results. I'd have expected test #3 to improve with
this change, but it didn't.
0003:
In 0002 I added a dedicated loop that handles tuples without
HEAP_HASNULL. To see if it would make the performance any better I
made 0003, which gets rid of that dedicated loop. I hoped that
shrinking the code down might help performance. It didn't quite have
the effect I hoped for.
In each version, I experimented with having a dedicated deforming loop
which can only handle attbyval == true columns. If we know there are
no byref attributes, then fetch_att() can be inlined without the
branch that handles pointer types. That removes some branching
overhead and makes for a tighter loop with fewer instructions. When
this optimisation doesn't apply, there's a bit of extra overhead of
having to check for "attnum < firstByRefAttr".
Benchmarking:
To get an idea if doing this is a win performance-wise, I designed a
benchmark with various numbers of columns and various combinations of
fixed vs varlena types along with NULLs and no NULLs. There are 8
tests in total. For each of those 8 tests, I ran it with between 0
and 40 extra INT NOT NULL columns.
The tests are:
1. first col int not null, last col int not null
2. first col text not null, last col int not null
3. first col int null, last col int not null
4. first col text null, last col int not null
5. first col int not null, last col int null
6. first col text not null, last col int null
7. first col int null, last col int null
8. first col text null, last col int null
So, for example #1 would look like:
CREATE TABLE t1 (
c INT NOT NULL DEFAULT 0,
<extra 0-40 columns here>
a INT NOT NULL,
b INT NOT NULL DEFAULT 0
);
and #8 would be:
CREATE TABLE t1 (
c TEXT DEFAULT NULL,
<extra 0-40 columns here>
a INT NOT NULL,
b INT DEFAULT NULL
);
For each of the 8 tests, I ran with 0, 10, 20, 30 and 40 extra
columns, so 40 tests in total (8 tests * 5 for each variation of extra
columns).
Another benefit of 0001, besides using the fixed attcacheoff is that
since we know where the first NULL attribute is, we can keep deforming
without calling att_isnull() until we get to the first NULL attribute.
Currently in master, if the tuple has the HEAP_HASNULL bit set, then
the deforming code will call att_isnull for every attribute in the
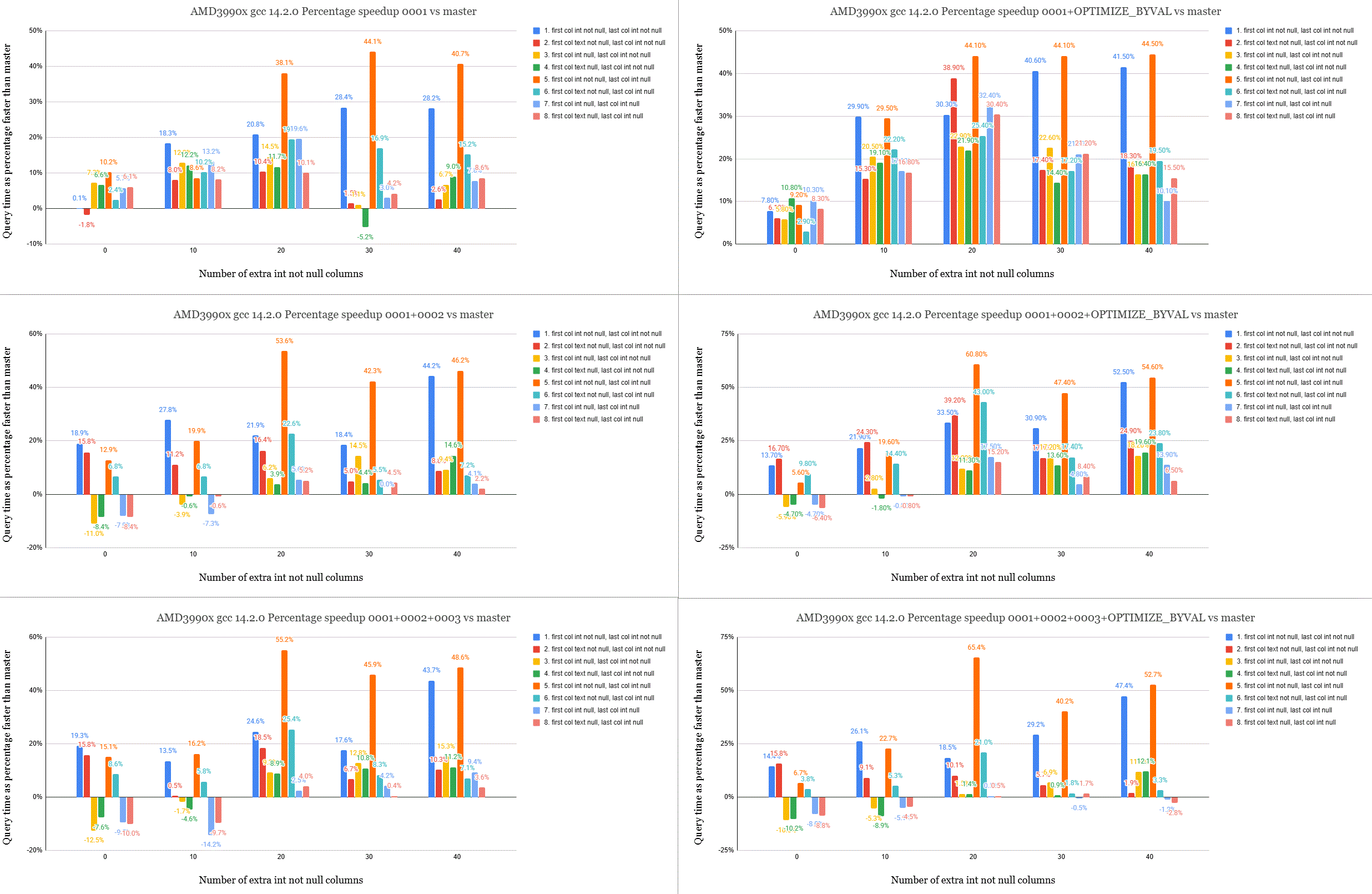
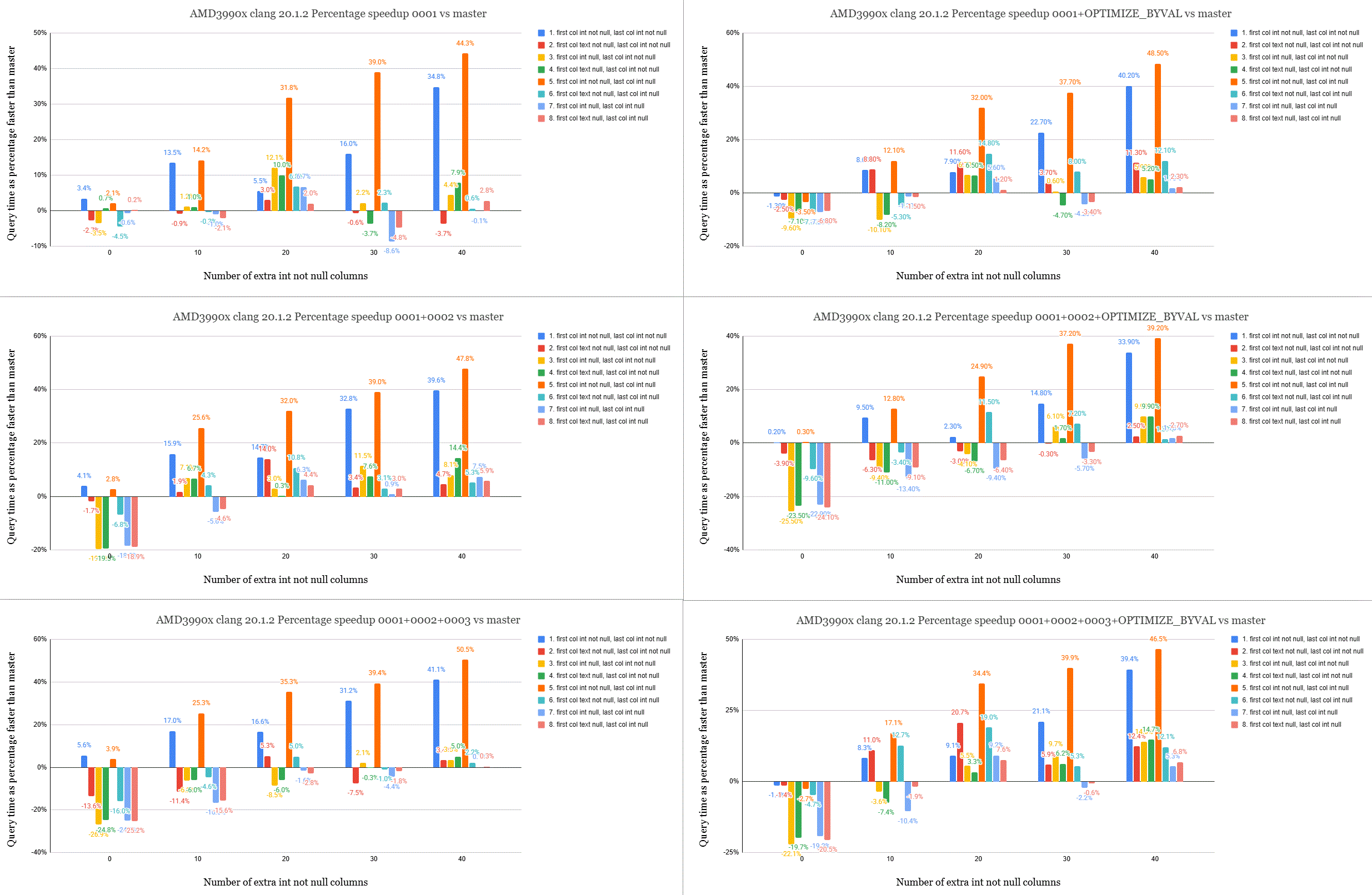
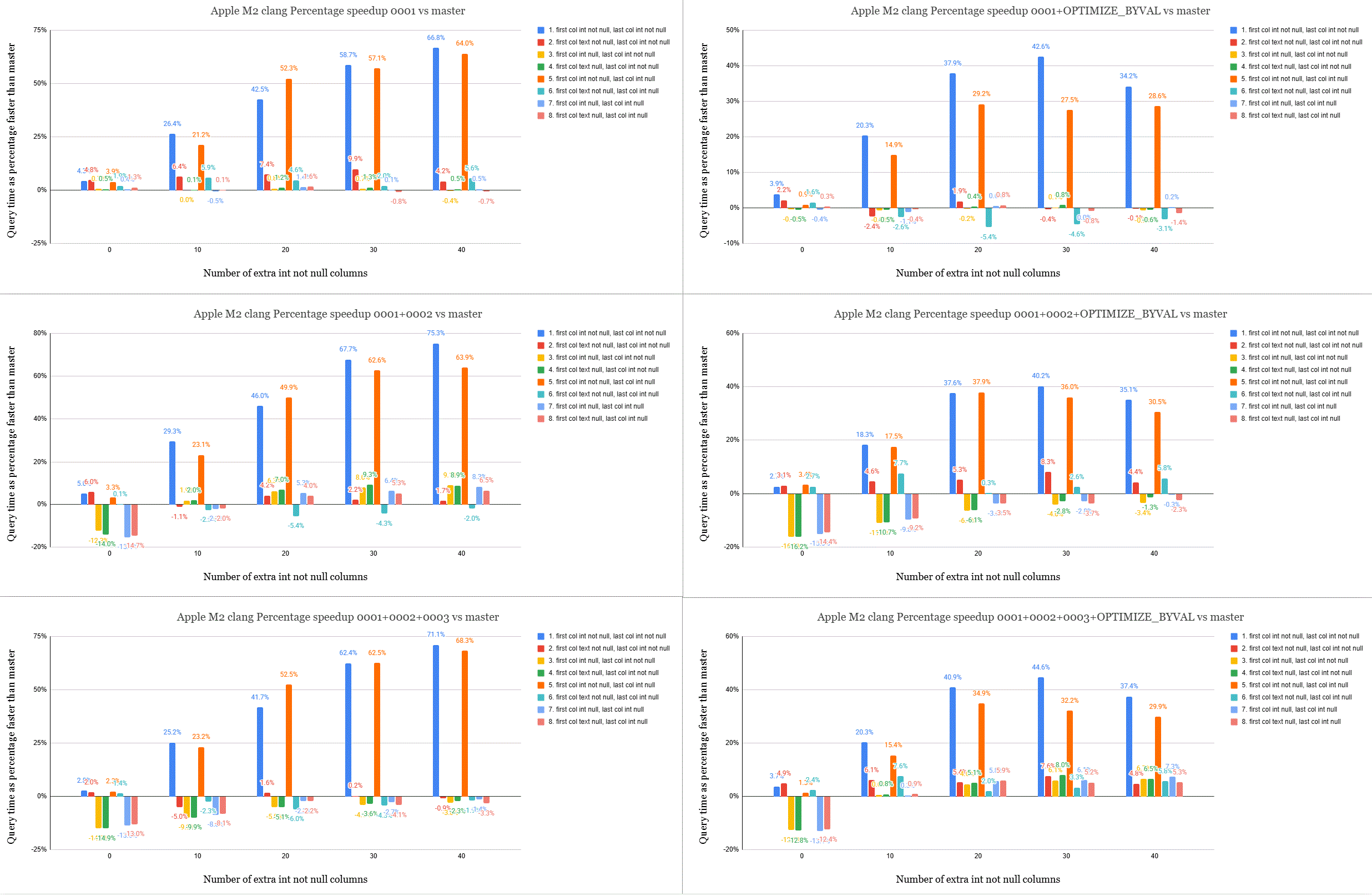
tuple. Test #5 should highlight this (you may notice the orange bar in
the attached graphs is commonly the test with the biggest speedup)
Now, not every query is bottlenecked on tuple deforming, so to try to
maximise the amount of tuple deforming that occurs relative to other
work, the query I ran was: SELECT sum(a) FROM t1; since the "a"
column is almost last, all prior attributes need to be deformed before
"a" can be.
I've tried to make the benchmark represent a large variety of
scenarios to see if there are any performance regressions. I've
benchmarked each patch with and without OPTIMIZE_BYVAL defined (the
additional byval-only attribute deformer loop). I tried with gcc and
with clang on my Zen 2 machine and also an Apple M2. Please see the
attached graphs which show the results of the SUM(a) query on a table
with 1 million rows.
Analysing the results, it's not really that clear which patch is best.
Which version works fastest seems to depend on the hardware. The AMD
Zen 2 machine with gcc does really well with 0001+OPTIMIZE_BYVAL as it
comes out an average of 21% faster and some tests are more than 44%
faster than master, and there are no performance regressions. With
clang on the same Zen2 machine the performance isn't the same. There
are a few regressions with the 0 extra column tests. On the Apple M2
tests #1 and #5 improve massively. The other tests don't improve
nearly as much and with certain patches a few regress slightly.
Please see the attached gifs which show 6 graphs each. Top is the
results of 0001, the middle row is 0001+0002 and the bottom row
0001+0002+0003. The left column is without OPTIMIZE_BYVAL and the
right column is with. The percentage shown is the query time speedup
the patched version gives over master.
Things still to do:
* More benchmarking is needed. I've not yet completed the benchmarks
on my Zen4 machine. No Intel hardware has been tested at all. I don't
really have any good Intel hardware to test with. Maybe someone else
would like to help? Script is attached.
* I've not looked at the JIT deforming code. At the moment the code
won't even compile with LLVM enabled because I've removed the
TTS_FLAG_SLOW flag. It's possible I'll have to adjust the JIT
deforming code or consider keeping TTS_FLAG_SLOW.
I'll add this patch to the January commitfest.
David
Attachments:
v1-0001-Precalculate-CompactAttribute-s-attcacheoff.patchtext/plain; charset=US-ASCII; name=v1-0001-Precalculate-CompactAttribute-s-attcacheoff.patchDownload
From 41f7dbbc560a026e2e311896056284fd60796cf0 Mon Sep 17 00:00:00 2001
From: David Rowley <dgrowley@gmail.com>
Date: Tue, 31 Dec 2024 09:19:24 +1300
Subject: [PATCH v1 1/3] Precalculate CompactAttribute's attcacheoff
This allows code to be removed from the tuple deform routines which
shrinks down the code a little, which can make it run more quickly.
This also makes a dedicated deformer loop to deform the portion of the
tuple which has a known offset, which makes deforming much faster when
a leading set of the table's columns are non-NULL values and fixed-width
types.
---
contrib/dblink/dblink.c | 2 +
contrib/pg_buffercache/pg_buffercache_pages.c | 1 +
contrib/pg_visibility/pg_visibility.c | 2 +
src/backend/access/brin/brin_tuple.c | 1 +
src/backend/access/common/heaptuple.c | 317 ++++++----------
src/backend/access/common/indextuple.c | 355 +++++++-----------
src/backend/access/common/tupdesc.c | 56 +++
src/backend/access/gin/ginutil.c | 1 +
src/backend/access/gist/gistscan.c | 1 +
src/backend/access/spgist/spgutils.c | 4 +-
src/backend/access/transam/twophase.c | 1 +
src/backend/access/transam/xlogfuncs.c | 1 +
src/backend/backup/basebackup_copy.c | 3 +
src/backend/catalog/index.c | 2 +
src/backend/catalog/pg_publication.c | 1 +
src/backend/catalog/toasting.c | 6 +
src/backend/commands/explain.c | 1 +
src/backend/commands/functioncmds.c | 1 +
src/backend/commands/sequence.c | 1 +
src/backend/commands/tablecmds.c | 4 +
src/backend/executor/execSRF.c | 2 +
src/backend/executor/execTuples.c | 303 +++++++--------
src/backend/executor/nodeFunctionscan.c | 2 +
src/backend/parser/parse_relation.c | 4 +-
src/backend/parser/parse_target.c | 2 +
.../libpqwalreceiver/libpqwalreceiver.c | 1 +
src/backend/replication/walsender.c | 5 +
src/backend/utils/adt/acl.c | 1 +
src/backend/utils/adt/genfile.c | 1 +
src/backend/utils/adt/lockfuncs.c | 1 +
src/backend/utils/adt/orderedsetaggs.c | 1 +
src/backend/utils/adt/pgstatfuncs.c | 5 +
src/backend/utils/adt/tsvector_op.c | 1 +
src/backend/utils/cache/relcache.c | 20 +-
src/backend/utils/fmgr/funcapi.c | 6 +
src/backend/utils/init/postinit.c | 1 +
src/backend/utils/misc/guc_funcs.c | 5 +
src/include/access/htup_details.h | 19 +-
src/include/access/itup.h | 20 +-
src/include/access/tupdesc.h | 12 +
src/include/access/tupmacs.h | 57 +++
src/include/executor/tuptable.h | 9 +-
src/pl/plpgsql/src/pl_comp.c | 2 +
.../modules/test_predtest/test_predtest.c | 1 +
44 files changed, 613 insertions(+), 629 deletions(-)
diff --git a/contrib/dblink/dblink.c b/contrib/dblink/dblink.c
index 8bf8fc8ea2f..82dbabc8927 100644
--- a/contrib/dblink/dblink.c
+++ b/contrib/dblink/dblink.c
@@ -1045,6 +1045,7 @@ materializeQueryResult(FunctionCallInfo fcinfo,
TupleDescInitEntry(tupdesc, (AttrNumber) 1, "status",
TEXTOID, -1, 0);
attinmeta = TupleDescGetAttInMetadata(tupdesc);
+ TupleDescFinalize(tupdesc);
oldcontext = MemoryContextSwitchTo(rsinfo->econtext->ecxt_per_query_memory);
tupstore = tuplestore_begin_heap(true, false, work_mem);
@@ -1534,6 +1535,7 @@ dblink_get_pkey(PG_FUNCTION_ARGS)
* C strings
*/
attinmeta = TupleDescGetAttInMetadata(tupdesc);
+ TupleDescFinalize(tupdesc);
funcctx->attinmeta = attinmeta;
if ((results != NULL) && (indnkeyatts > 0))
diff --git a/contrib/pg_buffercache/pg_buffercache_pages.c b/contrib/pg_buffercache/pg_buffercache_pages.c
index 0c58e4b265c..976c38b9197 100644
--- a/contrib/pg_buffercache/pg_buffercache_pages.c
+++ b/contrib/pg_buffercache/pg_buffercache_pages.c
@@ -174,6 +174,7 @@ pg_buffercache_pages(PG_FUNCTION_ARGS)
TupleDescInitEntry(tupledesc, (AttrNumber) 9, "pinning_backends",
INT4OID, -1, 0);
+ TupleDescFinalize(tupledesc);
fctx->tupdesc = BlessTupleDesc(tupledesc);
/* Allocate NBuffers worth of BufferCachePagesRec records. */
diff --git a/contrib/pg_visibility/pg_visibility.c b/contrib/pg_visibility/pg_visibility.c
index 715f5cdd17c..7047895c5e8 100644
--- a/contrib/pg_visibility/pg_visibility.c
+++ b/contrib/pg_visibility/pg_visibility.c
@@ -469,6 +469,8 @@ pg_visibility_tupdesc(bool include_blkno, bool include_pd)
TupleDescInitEntry(tupdesc, ++a, "pd_all_visible", BOOLOID, -1, 0);
Assert(a == maxattr);
+ TupleDescFinalize(tupdesc);
+
return BlessTupleDesc(tupdesc);
}
diff --git a/src/backend/access/brin/brin_tuple.c b/src/backend/access/brin/brin_tuple.c
index 43850ce8f48..1e0c2a44b7a 100644
--- a/src/backend/access/brin/brin_tuple.c
+++ b/src/backend/access/brin/brin_tuple.c
@@ -84,6 +84,7 @@ brtuple_disk_tupdesc(BrinDesc *brdesc)
MemoryContextSwitchTo(oldcxt);
+ TupleDescFinalize(tupdesc);
brdesc->bd_disktdesc = tupdesc;
}
diff --git a/src/backend/access/common/heaptuple.c b/src/backend/access/common/heaptuple.c
index b7820d692e2..c24ba949c11 100644
--- a/src/backend/access/common/heaptuple.c
+++ b/src/backend/access/common/heaptuple.c
@@ -497,20 +497,8 @@ heap_attisnull(HeapTuple tup, int attnum, TupleDesc tupleDesc)
/* ----------------
* nocachegetattr
*
- * This only gets called from fastgetattr(), in cases where we
- * can't use a cacheoffset and the value is not null.
- *
- * This caches attribute offsets in the attribute descriptor.
- *
- * An alternative way to speed things up would be to cache offsets
- * with the tuple, but that seems more difficult unless you take
- * the storage hit of actually putting those offsets into the
- * tuple you send to disk. Yuck.
- *
- * This scheme will be slightly slower than that, but should
- * perform well for queries which hit large #'s of tuples. After
- * you cache the offsets once, examining all the other tuples using
- * the same attribute descriptor will go much quicker. -cim 5/4/91
+ * This only gets called from fastgetattr(), in cases where the
+ * attcacheoff is not set.
*
* NOTE: if you need to change this code, see also heap_deform_tuple.
* Also see nocache_index_getattr, which is the same code for index
@@ -522,194 +510,101 @@ nocachegetattr(HeapTuple tup,
int attnum,
TupleDesc tupleDesc)
{
+ CompactAttribute *cattr;
HeapTupleHeader td = tup->t_data;
char *tp; /* ptr to data part of tuple */
bits8 *bp = td->t_bits; /* ptr to null bitmap in tuple */
- bool slow = false; /* do we have to walk attrs? */
int off; /* current offset within data */
+ int startAttr;
+ int firstnullattr;
+ bool hasnulls = HeapTupleHasNulls(tup);
- /* ----------------
- * Three cases:
- *
- * 1: No nulls and no variable-width attributes.
- * 2: Has a null or a var-width AFTER att.
- * 3: Has nulls or var-widths BEFORE att.
- * ----------------
+ /*
+ * If there are no NULLs before the required attnum, then we can start at
+ * the highest attribute with a known offset, or the first attribute if
+ * none have a cached offset. If the tuple has no variable width types,
+ * then we can use a slightly cheaper method of offset calculation, as we
+ * just need to add the attlen to the aligned offset when skipping over
+ * columns. When the tuple contains variable-width types, we must use
+ * att_addlength_pointer(), which does a bit more branching and is
+ * slightly less efficient.
*/
-
attnum--;
- if (!HeapTupleNoNulls(tup))
- {
- /*
- * there's a null somewhere in the tuple
- *
- * check to see if any preceding bits are null...
- */
- int byte = attnum >> 3;
- int finalbit = attnum & 0x07;
-
- /* check for nulls "before" final bit of last byte */
- if ((~bp[byte]) & ((1 << finalbit) - 1))
- slow = true;
- else
- {
- /* check for nulls in any "earlier" bytes */
- int i;
+ if (hasnulls)
+ firstnullattr = first_null_attr(bp, attnum);
+ else
+ firstnullattr = attnum;
- for (i = 0; i < byte; i++)
- {
- if (bp[i] != 0xFF)
- {
- slow = true;
- break;
- }
- }
- }
+ if (tupleDesc->firstNonCachedOffAttr >= 0)
+ {
+ startAttr = Min(tupleDesc->firstNonCachedOffAttr - 1, firstnullattr);
+ off = TupleDescCompactAttr(tupleDesc, startAttr)->attcacheoff;
+ }
+ else
+ {
+ startAttr = 0;
+ off = 0;
}
tp = (char *) td + td->t_hoff;
- if (!slow)
+ if (hasnulls)
{
- CompactAttribute *att;
+ for (int i = startAttr; i < attnum; i++)
+ {
+ CompactAttribute *att;
- /*
- * If we get here, there are no nulls up to and including the target
- * attribute. If we have a cached offset, we can use it.
- */
- att = TupleDescCompactAttr(tupleDesc, attnum);
- if (att->attcacheoff >= 0)
- return fetchatt(att, tp + att->attcacheoff);
+ if (att_isnull(i, bp))
+ continue;
- /*
- * Otherwise, check for non-fixed-length attrs up to and including
- * target. If there aren't any, it's safe to cheaply initialize the
- * cached offsets for these attrs.
- */
- if (HeapTupleHasVarWidth(tup))
- {
- int j;
+ att = TupleDescCompactAttr(tupleDesc, i);
- for (j = 0; j <= attnum; j++)
- {
- if (TupleDescCompactAttr(tupleDesc, j)->attlen <= 0)
- {
- slow = true;
- break;
- }
- }
+ off = att_pointer_alignby(off,
+ att->attalignby,
+ att->attlen,
+ tp + off);
+ off = att_addlength_pointer(off, att->attlen, tp + off);
}
+ cattr = TupleDescCompactAttr(tupleDesc, attnum);
+ off = att_pointer_alignby(off,
+ cattr->attalignby,
+ cattr->attlen,
+ tp + off);
}
-
- if (!slow)
+ else if (!HeapTupleHasVarWidth(tup))
{
- int natts = tupleDesc->natts;
- int j = 1;
-
- /*
- * If we get here, we have a tuple with no nulls or var-widths up to
- * and including the target attribute, so we can use the cached offset
- * ... only we don't have it yet, or we'd not have got here. Since
- * it's cheap to compute offsets for fixed-width columns, we take the
- * opportunity to initialize the cached offsets for *all* the leading
- * fixed-width columns, in hope of avoiding future visits to this
- * routine.
- */
- TupleDescCompactAttr(tupleDesc, 0)->attcacheoff = 0;
-
- /* we might have set some offsets in the slow path previously */
- while (j < natts && TupleDescCompactAttr(tupleDesc, j)->attcacheoff > 0)
- j++;
-
- off = TupleDescCompactAttr(tupleDesc, j - 1)->attcacheoff +
- TupleDescCompactAttr(tupleDesc, j - 1)->attlen;
-
- for (; j < natts; j++)
+ for (int i = startAttr; i < attnum; i++)
{
- CompactAttribute *att = TupleDescCompactAttr(tupleDesc, j);
-
- if (att->attlen <= 0)
- break;
+ CompactAttribute *att = TupleDescCompactAttr(tupleDesc, i);
off = att_nominal_alignby(off, att->attalignby);
-
- att->attcacheoff = off;
-
off += att->attlen;
}
-
- Assert(j > attnum);
-
- off = TupleDescCompactAttr(tupleDesc, attnum)->attcacheoff;
+ cattr = TupleDescCompactAttr(tupleDesc, attnum);
+ off = att_nominal_alignby(off, cattr->attalignby);
}
else
{
- bool usecache = true;
- int i;
-
- /*
- * Now we know that we have to walk the tuple CAREFULLY. But we still
- * might be able to cache some offsets for next time.
- *
- * Note - This loop is a little tricky. For each non-null attribute,
- * we have to first account for alignment padding before the attr,
- * then advance over the attr based on its length. Nulls have no
- * storage and no alignment padding either. We can use/set
- * attcacheoff until we reach either a null or a var-width attribute.
- */
- off = 0;
- for (i = 0;; i++) /* loop exit is at "break" */
+ for (int i = startAttr; i < attnum; i++)
{
CompactAttribute *att = TupleDescCompactAttr(tupleDesc, i);
- if (HeapTupleHasNulls(tup) && att_isnull(i, bp))
- {
- usecache = false;
- continue; /* this cannot be the target att */
- }
-
- /* If we know the next offset, we can skip the rest */
- if (usecache && att->attcacheoff >= 0)
- off = att->attcacheoff;
- else if (att->attlen == -1)
- {
- /*
- * We can only cache the offset for a varlena attribute if the
- * offset is already suitably aligned, so that there would be
- * no pad bytes in any case: then the offset will be valid for
- * either an aligned or unaligned value.
- */
- if (usecache &&
- off == att_nominal_alignby(off, att->attalignby))
- att->attcacheoff = off;
- else
- {
- off = att_pointer_alignby(off, att->attalignby, -1,
- tp + off);
- usecache = false;
- }
- }
- else
- {
- /* not varlena, so safe to use att_nominal_alignby */
- off = att_nominal_alignby(off, att->attalignby);
-
- if (usecache)
- att->attcacheoff = off;
- }
-
- if (i == attnum)
- break;
-
+ off = att_pointer_alignby(off,
+ att->attalignby,
+ att->attlen,
+ tp + off);
off = att_addlength_pointer(off, att->attlen, tp + off);
- if (usecache && att->attlen <= 0)
- usecache = false;
}
+ cattr = TupleDescCompactAttr(tupleDesc, attnum);
+ off = att_pointer_alignby(off,
+ cattr->attalignby,
+ cattr->attlen,
+ tp + off);
}
- return fetchatt(TupleDescCompactAttr(tupleDesc, attnum), tp + off);
+ return fetchatt(cattr, tp + off);
}
/* ----------------
@@ -1354,7 +1249,8 @@ heap_deform_tuple(HeapTuple tuple, TupleDesc tupleDesc,
char *tp; /* ptr to tuple data */
uint32 off; /* offset in tuple data */
bits8 *bp = tup->t_bits; /* ptr to null bitmap in tuple */
- bool slow = false; /* can we use/set attcacheoff? */
+ int cacheoffattrs;
+ int firstnullattr;
natts = HeapTupleHeaderGetNatts(tup);
@@ -1364,60 +1260,77 @@ heap_deform_tuple(HeapTuple tuple, TupleDesc tupleDesc,
* the caller's arrays.
*/
natts = Min(natts, tdesc_natts);
+ cacheoffattrs = Min(tupleDesc->firstNonCachedOffAttr, natts);
- tp = (char *) tup + tup->t_hoff;
+ if (hasnulls)
+ {
+ firstnullattr = first_null_attr(bp, natts);
+ cacheoffattrs = Min(cacheoffattrs, firstnullattr);
+ }
+ else
+ firstnullattr = natts;
+ tp = (char *) tup + tup->t_hoff;
off = 0;
- for (attnum = 0; attnum < natts; attnum++)
+ for (attnum = 0; attnum < cacheoffattrs; attnum++)
{
- CompactAttribute *thisatt = TupleDescCompactAttr(tupleDesc, attnum);
+ CompactAttribute *cattr = TupleDescCompactAttr(tupleDesc, attnum);
+
+ Assert(cattr->attcacheoff >= 0);
+
+ values[attnum] = fetch_att(tp + cattr->attcacheoff, cattr->attbyval,
+ cattr->attlen);
+ isnull[attnum] = false;
+ off = cattr->attcacheoff + cattr->attlen;
+ }
- if (hasnulls && att_isnull(attnum, bp))
+ for (; attnum < firstnullattr; attnum++)
+ {
+ CompactAttribute *cattr = TupleDescCompactAttr(tupleDesc, attnum);
+
+ if (cattr->attlen == -1)
+ off = att_pointer_alignby(off, cattr->attalignby, -1,
+ tp + off);
+ else
{
- values[attnum] = (Datum) 0;
- isnull[attnum] = true;
- slow = true; /* can't use attcacheoff anymore */
- continue;
+ /* not varlena, so safe to use att_nominal_alignby */
+ off = att_nominal_alignby(off, cattr->attalignby);
}
isnull[attnum] = false;
+ values[attnum] = fetchatt(cattr, tp + off);
- if (!slow && thisatt->attcacheoff >= 0)
- off = thisatt->attcacheoff;
- else if (thisatt->attlen == -1)
+ off = att_addlength_pointer(off, cattr->attlen, tp + off);
+ }
+
+ for (; attnum < natts; attnum++)
+ {
+ CompactAttribute *cattr;
+
+ Assert(hasnulls);
+
+ if (att_isnull(attnum, bp))
{
- /*
- * We can only cache the offset for a varlena attribute if the
- * offset is already suitably aligned, so that there would be no
- * pad bytes in any case: then the offset will be valid for either
- * an aligned or unaligned value.
- */
- if (!slow &&
- off == att_nominal_alignby(off, thisatt->attalignby))
- thisatt->attcacheoff = off;
- else
- {
- off = att_pointer_alignby(off, thisatt->attalignby, -1,
- tp + off);
- slow = true;
- }
+ values[attnum] = (Datum) 0;
+ isnull[attnum] = true;
+ continue;
}
+
+ cattr = TupleDescCompactAttr(tupleDesc, attnum);
+ if (cattr->attlen == -1)
+ off = att_pointer_alignby(off, cattr->attalignby, -1,
+ tp + off);
else
{
/* not varlena, so safe to use att_nominal_alignby */
- off = att_nominal_alignby(off, thisatt->attalignby);
-
- if (!slow)
- thisatt->attcacheoff = off;
+ off = att_nominal_alignby(off, cattr->attalignby);
}
- values[attnum] = fetchatt(thisatt, tp + off);
-
- off = att_addlength_pointer(off, thisatt->attlen, tp + off);
+ isnull[attnum] = false;
+ values[attnum] = fetchatt(cattr, tp + off);
- if (thisatt->attlen <= 0)
- slow = true; /* can't use attcacheoff anymore */
+ off = att_addlength_pointer(off, cattr->attlen, tp + off);
}
/*
diff --git a/src/backend/access/common/indextuple.c b/src/backend/access/common/indextuple.c
index 3efa3889c6f..8d0c273cdf6 100644
--- a/src/backend/access/common/indextuple.c
+++ b/src/backend/access/common/indextuple.c
@@ -223,18 +223,6 @@ index_form_tuple_context(TupleDesc tupleDescriptor,
*
* This gets called from index_getattr() macro, and only in cases
* where we can't use cacheoffset and the value is not null.
- *
- * This caches attribute offsets in the attribute descriptor.
- *
- * An alternative way to speed things up would be to cache offsets
- * with the tuple, but that seems more difficult unless you take
- * the storage hit of actually putting those offsets into the
- * tuple you send to disk. Yuck.
- *
- * This scheme will be slightly slower than that, but should
- * perform well for queries which hit large #'s of tuples. After
- * you cache the offsets once, examining all the other tuples using
- * the same attribute descriptor will go much quicker. -cim 5/4/91
* ----------------
*/
Datum
@@ -242,205 +230,126 @@ nocache_index_getattr(IndexTuple tup,
int attnum,
TupleDesc tupleDesc)
{
+ CompactAttribute *cattr;
char *tp; /* ptr to data part of tuple */
bits8 *bp = NULL; /* ptr to null bitmap in tuple */
- bool slow = false; /* do we have to walk attrs? */
int data_off; /* tuple data offset */
int off; /* current offset within data */
+ int startAttr;
+ int firstnullattr;
+ bool hasnulls = IndexTupleHasNulls(tup);
+ int i;
- /* ----------------
- * Three cases:
- *
- * 1: No nulls and no variable-width attributes.
- * 2: Has a null or a var-width AFTER att.
- * 3: Has nulls or var-widths BEFORE att.
- * ----------------
- */
+ attnum--;
+ /*
+ * If there are no NULLs before the required attnum, then we can start at
+ * the highest attribute with a known offset, or the first attribute if
+ * none have a cached offset. If the tuple has no variable width types,
+ * which is common with indexes, then we can use a slightly cheaper method
+ * of offset calculation, as we just need to add the attlen to the aligned
+ * offset when skipping over columns. When the tuple contains
+ * variable-width types, we must use att_addlength_pointer(), which does a
+ * bit more branching and is slightly less efficient.
+ */
data_off = IndexInfoFindDataOffset(tup->t_info);
+ tp = (char *) tup + data_off;
- attnum--;
-
- if (IndexTupleHasNulls(tup))
+ /*
+ * Find the first NULL column, or if there's none set the first NULL to
+ * attnum so that we can forego NULL checking all the way to attnum.
+ */
+ if (hasnulls)
{
- /*
- * there's a null somewhere in the tuple
- *
- * check to see if desired att is null
- */
-
- /* XXX "knows" t_bits are just after fixed tuple header! */
bp = (bits8 *) ((char *) tup + sizeof(IndexTupleData));
-
- /*
- * Now check to see if any preceding bits are null...
- */
- {
- int byte = attnum >> 3;
- int finalbit = attnum & 0x07;
-
- /* check for nulls "before" final bit of last byte */
- if ((~bp[byte]) & ((1 << finalbit) - 1))
- slow = true;
- else
- {
- /* check for nulls in any "earlier" bytes */
- int i;
-
- for (i = 0; i < byte; i++)
- {
- if (bp[i] != 0xFF)
- {
- slow = true;
- break;
- }
- }
- }
- }
+ firstnullattr = first_null_attr(bp, attnum);
}
+ else
+ firstnullattr = attnum;
- tp = (char *) tup + data_off;
-
- if (!slow)
+ if (tupleDesc->firstNonCachedOffAttr >= 0)
{
- CompactAttribute *att;
-
- /*
- * If we get here, there are no nulls up to and including the target
- * attribute. If we have a cached offset, we can use it.
- */
- att = TupleDescCompactAttr(tupleDesc, attnum);
- if (att->attcacheoff >= 0)
- return fetchatt(att, tp + att->attcacheoff);
-
- /*
- * Otherwise, check for non-fixed-length attrs up to and including
- * target. If there aren't any, it's safe to cheaply initialize the
- * cached offsets for these attrs.
- */
- if (IndexTupleHasVarwidths(tup))
- {
- int j;
-
- for (j = 0; j <= attnum; j++)
- {
- if (TupleDescCompactAttr(tupleDesc, j)->attlen <= 0)
- {
- slow = true;
- break;
- }
- }
- }
+ startAttr = Min(tupleDesc->firstNonCachedOffAttr - 1, firstnullattr);
+ off = TupleDescCompactAttr(tupleDesc, startAttr)->attcacheoff;
}
-
- if (!slow)
+ else
{
- int natts = tupleDesc->natts;
- int j = 1;
-
- /*
- * If we get here, we have a tuple with no nulls or var-widths up to
- * and including the target attribute, so we can use the cached offset
- * ... only we don't have it yet, or we'd not have got here. Since
- * it's cheap to compute offsets for fixed-width columns, we take the
- * opportunity to initialize the cached offsets for *all* the leading
- * fixed-width columns, in hope of avoiding future visits to this
- * routine.
- */
- TupleDescCompactAttr(tupleDesc, 0)->attcacheoff = 0;
+ startAttr = 0;
+ off = 0;
+ }
- /* we might have set some offsets in the slow path previously */
- while (j < natts && TupleDescCompactAttr(tupleDesc, j)->attcacheoff > 0)
- j++;
+ /* Handle tuples with var-width attributes */
+ if (IndexTupleHasVarwidths(tup))
+ {
+ /* Calculate the offset up until the first NULL */
+ for (i = startAttr; i < firstnullattr; i++)
+ {
+ cattr = TupleDescCompactAttr(tupleDesc, i);
- off = TupleDescCompactAttr(tupleDesc, j - 1)->attcacheoff +
- TupleDescCompactAttr(tupleDesc, j - 1)->attlen;
+ off = att_pointer_alignby(off,
+ cattr->attalignby,
+ cattr->attlen,
+ tp + off);
+ off = att_addlength_pointer(off, cattr->attlen, tp + off);
+ }
- for (; j < natts; j++)
+ /* Calculate the offset for any remaining columns. */
+ for (; i < attnum; i++)
{
- CompactAttribute *att = TupleDescCompactAttr(tupleDesc, j);
-
- if (att->attlen <= 0)
- break;
+ Assert(hasnulls);
- off = att_nominal_alignby(off, att->attalignby);
+ if (att_isnull(i, bp))
+ continue;
- att->attcacheoff = off;
+ cattr = TupleDescCompactAttr(tupleDesc, i);
- off += att->attlen;
+ off = att_pointer_alignby(off,
+ cattr->attalignby,
+ cattr->attlen,
+ tp + off);
+ off = att_addlength_pointer(off, cattr->attlen, tp + off);
}
-
- Assert(j > attnum);
-
- off = TupleDescCompactAttr(tupleDesc, attnum)->attcacheoff;
}
else
{
- bool usecache = true;
- int i;
+ /* Handle tuples with only fixed-width attributes */
- /*
- * Now we know that we have to walk the tuple CAREFULLY. But we still
- * might be able to cache some offsets for next time.
- *
- * Note - This loop is a little tricky. For each non-null attribute,
- * we have to first account for alignment padding before the attr,
- * then advance over the attr based on its length. Nulls have no
- * storage and no alignment padding either. We can use/set
- * attcacheoff until we reach either a null or a var-width attribute.
- */
- off = 0;
- for (i = 0;; i++) /* loop exit is at "break" */
+ /* Calculate the offset up until the first NULL */
+ for (i = startAttr; i < firstnullattr; i++)
{
- CompactAttribute *att = TupleDescCompactAttr(tupleDesc, i);
-
- if (IndexTupleHasNulls(tup) && att_isnull(i, bp))
- {
- usecache = false;
- continue; /* this cannot be the target att */
- }
-
- /* If we know the next offset, we can skip the rest */
- if (usecache && att->attcacheoff >= 0)
- off = att->attcacheoff;
- else if (att->attlen == -1)
- {
- /*
- * We can only cache the offset for a varlena attribute if the
- * offset is already suitably aligned, so that there would be
- * no pad bytes in any case: then the offset will be valid for
- * either an aligned or unaligned value.
- */
- if (usecache &&
- off == att_nominal_alignby(off, att->attalignby))
- att->attcacheoff = off;
- else
- {
- off = att_pointer_alignby(off, att->attalignby, -1,
- tp + off);
- usecache = false;
- }
- }
- else
- {
- /* not varlena, so safe to use att_nominal_alignby */
- off = att_nominal_alignby(off, att->attalignby);
+ cattr = TupleDescCompactAttr(tupleDesc, i);
+
+ Assert(cattr->attlen > 0);
+ off = att_pointer_alignby(off,
+ cattr->attalignby,
+ cattr->attlen,
+ tp + off);
+ off += cattr->attlen;
+ }
- if (usecache)
- att->attcacheoff = off;
- }
+ /* Calculate the offset for any remaining columns. */
+ for (; i < attnum; i++)
+ {
+ Assert(hasnulls);
- if (i == attnum)
- break;
+ if (att_isnull(i, bp))
+ continue;
- off = att_addlength_pointer(off, att->attlen, tp + off);
+ cattr = TupleDescCompactAttr(tupleDesc, i);
- if (usecache && att->attlen <= 0)
- usecache = false;
+ Assert(cattr->attlen > 0);
+ off = att_pointer_alignby(off,
+ cattr->attalignby,
+ cattr->attlen,
+ tp + off);
+ off += cattr->attlen;
}
}
- return fetchatt(TupleDescCompactAttr(tupleDesc, attnum), tp + off);
+ cattr = TupleDescCompactAttr(tupleDesc, attnum);
+ off = att_pointer_alignby(off, cattr->attalignby,
+ cattr->attlen, tp + off);
+ return fetchatt(cattr, tp + off);
}
/*
@@ -481,62 +390,76 @@ index_deform_tuple_internal(TupleDesc tupleDescriptor,
char *tp, bits8 *bp, int hasnulls)
{
int natts = tupleDescriptor->natts; /* number of atts to extract */
- int attnum;
+ int attnum = 0;
int off = 0; /* offset in tuple data */
- bool slow = false; /* can we use/set attcacheoff? */
+ int cacheoffattrs;
+ int firstnullattr;
/* Assert to protect callers who allocate fixed-size arrays */
Assert(natts <= INDEX_MAX_KEYS);
- for (attnum = 0; attnum < natts; attnum++)
+ cacheoffattrs = Min(tupleDescriptor->firstNonCachedOffAttr, natts);
+
+ if (hasnulls)
{
- CompactAttribute *thisatt = TupleDescCompactAttr(tupleDescriptor, attnum);
+ firstnullattr = first_null_attr(bp, natts);
+ cacheoffattrs = Min(cacheoffattrs, firstnullattr);
+ }
+ else
+ firstnullattr = natts;
+
+ if (attnum < cacheoffattrs)
+ {
+ CompactAttribute *cattr;
- if (hasnulls && att_isnull(attnum, bp))
+ do
{
- values[attnum] = (Datum) 0;
- isnull[attnum] = true;
- slow = true; /* can't use attcacheoff anymore */
- continue;
- }
+ cattr = TupleDescCompactAttr(tupleDescriptor, attnum);
+
+ Assert(cattr->attcacheoff >= 0);
+
+ values[attnum] = fetch_att(tp + cattr->attcacheoff, cattr->attbyval,
+ cattr->attlen);
+ isnull[attnum] = false;
+ } while (++attnum < cacheoffattrs);
+
+ off = cattr->attcacheoff + cattr->attlen;
+ }
+
+ for (; attnum < firstnullattr; attnum++)
+ {
+ CompactAttribute *cattr = TupleDescCompactAttr(tupleDescriptor, attnum);
+
+ off = att_pointer_alignby(off, cattr->attalignby, cattr->attlen,
+ tp + off);
isnull[attnum] = false;
+ values[attnum] = fetchatt(cattr, tp + off);
- if (!slow && thisatt->attcacheoff >= 0)
- off = thisatt->attcacheoff;
- else if (thisatt->attlen == -1)
- {
- /*
- * We can only cache the offset for a varlena attribute if the
- * offset is already suitably aligned, so that there would be no
- * pad bytes in any case: then the offset will be valid for either
- * an aligned or unaligned value.
- */
- if (!slow &&
- off == att_nominal_alignby(off, thisatt->attalignby))
- thisatt->attcacheoff = off;
- else
- {
- off = att_pointer_alignby(off, thisatt->attalignby, -1,
- tp + off);
- slow = true;
- }
- }
- else
- {
- /* not varlena, so safe to use att_nominal_alignby */
- off = att_nominal_alignby(off, thisatt->attalignby);
+ off = att_addlength_pointer(off, cattr->attlen, tp + off);
+ }
+
+ for (; attnum < natts; attnum++)
+ {
+ CompactAttribute *cattr;
+
+ Assert(hasnulls);
- if (!slow)
- thisatt->attcacheoff = off;
+ if (att_isnull(attnum, bp))
+ {
+ values[attnum] = (Datum) 0;
+ isnull[attnum] = true;
+ continue;
}
- values[attnum] = fetchatt(thisatt, tp + off);
+ cattr = TupleDescCompactAttr(tupleDescriptor, attnum);
+ off = att_pointer_alignby(off, cattr->attalignby, cattr->attlen,
+ tp + off);
- off = att_addlength_pointer(off, thisatt->attlen, tp + off);
+ isnull[attnum] = false;
+ values[attnum] = fetchatt(cattr, tp + off);
- if (thisatt->attlen <= 0)
- slow = true; /* can't use attcacheoff anymore */
+ off = att_addlength_pointer(off, cattr->attlen, tp + off);
}
}
diff --git a/src/backend/access/common/tupdesc.c b/src/backend/access/common/tupdesc.c
index bcd1ddcc68b..4aebb0190f8 100644
--- a/src/backend/access/common/tupdesc.c
+++ b/src/backend/access/common/tupdesc.c
@@ -238,6 +238,9 @@ CreateTupleDesc(int natts, Form_pg_attribute *attrs)
memcpy(TupleDescAttr(desc, i), attrs[i], ATTRIBUTE_FIXED_PART_SIZE);
populate_compact_attribute(desc, i);
}
+
+ TupleDescFinalize(desc);
+
return desc;
}
@@ -282,6 +285,8 @@ CreateTupleDescCopy(TupleDesc tupdesc)
desc->tdtypeid = tupdesc->tdtypeid;
desc->tdtypmod = tupdesc->tdtypmod;
+ TupleDescFinalize(desc);
+
return desc;
}
@@ -328,6 +333,8 @@ CreateTupleDescTruncatedCopy(TupleDesc tupdesc, int natts)
desc->tdtypeid = tupdesc->tdtypeid;
desc->tdtypmod = tupdesc->tdtypmod;
+ TupleDescFinalize(desc);
+
return desc;
}
@@ -413,6 +420,8 @@ CreateTupleDescCopyConstr(TupleDesc tupdesc)
desc->tdtypeid = tupdesc->tdtypeid;
desc->tdtypmod = tupdesc->tdtypmod;
+ TupleDescFinalize(desc);
+
return desc;
}
@@ -455,6 +464,8 @@ TupleDescCopy(TupleDesc dst, TupleDesc src)
* source's refcount would be wrong in any case.)
*/
dst->tdrefcount = -1;
+
+ TupleDescFinalize(dst);
}
/*
@@ -463,6 +474,9 @@ TupleDescCopy(TupleDesc dst, TupleDesc src)
* descriptor to another.
*
* !!! Constraints and defaults are not copied !!!
+ *
+ * The caller must take care of calling TupleDescFinalize() on once all
+ * TupleDesc changes have been made.
*/
void
TupleDescCopyEntry(TupleDesc dst, AttrNumber dstAttno,
@@ -495,6 +509,46 @@ TupleDescCopyEntry(TupleDesc dst, AttrNumber dstAttno,
populate_compact_attribute(dst, dstAttno - 1);
}
+/*
+ * TupleDescFinalize
+ * Finalize the given TupleDesc. This must be called after the
+ * attributes arrays have been populated or adjusted by any code.
+ *
+ * Must be called after populate_compact_attribute()
+ */
+void
+TupleDescFinalize(TupleDesc tupdesc)
+{
+ int firstNonCachedOffAttr = -1;
+ int firstByRefAttr = tupdesc->natts;
+ int offp = 0;
+
+ for (int i = 0; i < tupdesc->natts; i++)
+ {
+ CompactAttribute *cattr = TupleDescCompactAttr(tupdesc, i);
+
+ if (!cattr->attbyval)
+ firstByRefAttr = Min(firstByRefAttr, i);
+
+ /*
+ * We can't cache the offset for the first varlena attr as the
+ * alignment for those depends on 1 vs 4 byte headers, however we
+ * possibily could cache the first attlen == -2 attr. Worthwhile?
+ */
+ if (cattr->attlen <= 0)
+ break;
+
+ offp = att_nominal_alignby(offp, cattr->attalignby);
+ cattr->attcacheoff = offp;
+
+ offp += cattr->attlen;
+ firstNonCachedOffAttr = i + 1;
+ }
+
+ tupdesc->firstNonCachedOffAttr = firstNonCachedOffAttr;
+ tupdesc->firstByRefAttr = firstByRefAttr;
+}
+
/*
* Free a TupleDesc including all substructure
*/
@@ -1082,6 +1136,8 @@ BuildDescFromLists(const List *names, const List *types, const List *typmods, co
TupleDescInitEntryCollation(desc, attnum, attcollation);
}
+ TupleDescFinalize(desc);
+
return desc;
}
diff --git a/src/backend/access/gin/ginutil.c b/src/backend/access/gin/ginutil.c
index 605f80aad39..a7286615f5b 100644
--- a/src/backend/access/gin/ginutil.c
+++ b/src/backend/access/gin/ginutil.c
@@ -128,6 +128,7 @@ initGinState(GinState *state, Relation index)
attr->attndims);
TupleDescInitEntryCollation(state->tupdesc[i], (AttrNumber) 2,
attr->attcollation);
+ TupleDescFinalize(state->tupdesc[i]);
}
/*
diff --git a/src/backend/access/gist/gistscan.c b/src/backend/access/gist/gistscan.c
index 01b8ff0b6fa..6f58ba6cf95 100644
--- a/src/backend/access/gist/gistscan.c
+++ b/src/backend/access/gist/gistscan.c
@@ -201,6 +201,7 @@ gistrescan(IndexScanDesc scan, ScanKey key, int nkeys,
attno - 1)->atttypid,
-1, 0);
}
+ TupleDescFinalize(so->giststate->fetchTupdesc);
scan->xs_hitupdesc = so->giststate->fetchTupdesc;
/* Also create a memory context that will hold the returned tuples */
diff --git a/src/backend/access/spgist/spgutils.c b/src/backend/access/spgist/spgutils.c
index a60ec85e8be..391e7a4c9a1 100644
--- a/src/backend/access/spgist/spgutils.c
+++ b/src/backend/access/spgist/spgutils.c
@@ -334,11 +334,9 @@ getSpGistTupleDesc(Relation index, SpGistTypeDesc *keyType)
/* We shouldn't need to bother with making these valid: */
att->attcompression = InvalidCompressionMethod;
att->attcollation = InvalidOid;
- /* In case we changed typlen, we'd better reset following offsets */
- for (int i = spgFirstIncludeColumn; i < outTupDesc->natts; i++)
- TupleDescCompactAttr(outTupDesc, i)->attcacheoff = -1;
populate_compact_attribute(outTupDesc, spgKeyColumn);
+ TupleDescFinalize(outTupDesc);
}
return outTupDesc;
}
diff --git a/src/backend/access/transam/twophase.c b/src/backend/access/transam/twophase.c
index 3bc85986829..31956d2d0a8 100644
--- a/src/backend/access/transam/twophase.c
+++ b/src/backend/access/transam/twophase.c
@@ -744,6 +744,7 @@ pg_prepared_xact(PG_FUNCTION_ARGS)
TupleDescInitEntry(tupdesc, (AttrNumber) 5, "dbid",
OIDOID, -1, 0);
+ TupleDescFinalize(tupdesc);
funcctx->tuple_desc = BlessTupleDesc(tupdesc);
/*
diff --git a/src/backend/access/transam/xlogfuncs.c b/src/backend/access/transam/xlogfuncs.c
index 339cb75c3ad..fbc116b747f 100644
--- a/src/backend/access/transam/xlogfuncs.c
+++ b/src/backend/access/transam/xlogfuncs.c
@@ -401,6 +401,7 @@ pg_walfile_name_offset(PG_FUNCTION_ARGS)
INT4OID, -1, 0);
resultTupleDesc = BlessTupleDesc(resultTupleDesc);
+ TupleDescFinalize(resultTupleDesc);
/*
* xlogfilename
diff --git a/src/backend/backup/basebackup_copy.c b/src/backend/backup/basebackup_copy.c
index 8bb8d3939fe..d227bfad384 100644
--- a/src/backend/backup/basebackup_copy.c
+++ b/src/backend/backup/basebackup_copy.c
@@ -357,6 +357,8 @@ SendXlogRecPtrResult(XLogRecPtr ptr, TimeLineID tli)
*/
TupleDescInitBuiltinEntry(tupdesc, (AttrNumber) 2, "tli", INT8OID, -1, 0);
+ TupleDescFinalize(tupdesc);
+
/* send RowDescription */
tstate = begin_tup_output_tupdesc(dest, tupdesc, &TTSOpsVirtual);
@@ -388,6 +390,7 @@ SendTablespaceList(List *tablespaces)
TupleDescInitBuiltinEntry(tupdesc, (AttrNumber) 1, "spcoid", OIDOID, -1, 0);
TupleDescInitBuiltinEntry(tupdesc, (AttrNumber) 2, "spclocation", TEXTOID, -1, 0);
TupleDescInitBuiltinEntry(tupdesc, (AttrNumber) 3, "size", INT8OID, -1, 0);
+ TupleDescFinalize(tupdesc);
/* send RowDescription */
tstate = begin_tup_output_tupdesc(dest, tupdesc, &TTSOpsVirtual);
diff --git a/src/backend/catalog/index.c b/src/backend/catalog/index.c
index 8dea58ad96b..56b46385a0b 100644
--- a/src/backend/catalog/index.c
+++ b/src/backend/catalog/index.c
@@ -481,6 +481,8 @@ ConstructTupleDescriptor(Relation heapRelation,
populate_compact_attribute(indexTupDesc, i);
}
+ TupleDescFinalize(indexTupDesc);
+
pfree(amroutine);
return indexTupDesc;
diff --git a/src/backend/catalog/pg_publication.c b/src/backend/catalog/pg_publication.c
index 7aa3f179924..219190720a3 100644
--- a/src/backend/catalog/pg_publication.c
+++ b/src/backend/catalog/pg_publication.c
@@ -1230,6 +1230,7 @@ pg_get_publication_tables(PG_FUNCTION_ARGS)
TupleDescInitEntry(tupdesc, (AttrNumber) 4, "qual",
PG_NODE_TREEOID, -1, 0);
+ TupleDescFinalize(tupdesc);
funcctx->tuple_desc = BlessTupleDesc(tupdesc);
funcctx->user_fctx = table_infos;
diff --git a/src/backend/catalog/toasting.c b/src/backend/catalog/toasting.c
index 874a8fc89ad..8c1fede1090 100644
--- a/src/backend/catalog/toasting.c
+++ b/src/backend/catalog/toasting.c
@@ -229,6 +229,12 @@ create_toast_table(Relation rel, Oid toastOid, Oid toastIndexOid,
TupleDescAttr(tupdesc, 1)->attcompression = InvalidCompressionMethod;
TupleDescAttr(tupdesc, 2)->attcompression = InvalidCompressionMethod;
+ populate_compact_attribute(tupdesc, 0);
+ populate_compact_attribute(tupdesc, 1);
+ populate_compact_attribute(tupdesc, 2);
+
+ TupleDescFinalize(tupdesc);
+
/*
* Toast tables for regular relations go in pg_toast; those for temp
* relations go into the per-backend temp-toast-table namespace.
diff --git a/src/backend/commands/explain.c b/src/backend/commands/explain.c
index 5a6390631eb..26eee4ace42 100644
--- a/src/backend/commands/explain.c
+++ b/src/backend/commands/explain.c
@@ -281,6 +281,7 @@ ExplainResultDesc(ExplainStmt *stmt)
tupdesc = CreateTemplateTupleDesc(1);
TupleDescInitEntry(tupdesc, (AttrNumber) 1, "QUERY PLAN",
result_type, -1, 0);
+ TupleDescFinalize(tupdesc);
return tupdesc;
}
diff --git a/src/backend/commands/functioncmds.c b/src/backend/commands/functioncmds.c
index 8a435cd93db..bf73ef7d0a3 100644
--- a/src/backend/commands/functioncmds.c
+++ b/src/backend/commands/functioncmds.c
@@ -2423,6 +2423,7 @@ CallStmtResultDesc(CallStmt *stmt)
-1,
0);
}
+ TupleDescFinalize(tupdesc);
}
return tupdesc;
diff --git a/src/backend/commands/sequence.c b/src/backend/commands/sequence.c
index 51567994126..b26cd8e642e 100644
--- a/src/backend/commands/sequence.c
+++ b/src/backend/commands/sequence.c
@@ -1810,6 +1810,7 @@ pg_get_sequence_data(PG_FUNCTION_ARGS)
TupleDescInitEntry(resultTupleDesc, (AttrNumber) 3, "page_lsn",
LSNOID, -1, 0);
resultTupleDesc = BlessTupleDesc(resultTupleDesc);
+ TupleDescFinalize(resultTupleDesc);
init_sequence(relid, &elm, &seqrel);
diff --git a/src/backend/commands/tablecmds.c b/src/backend/commands/tablecmds.c
index 1d9565b09fc..89e3dc4a6a9 100644
--- a/src/backend/commands/tablecmds.c
+++ b/src/backend/commands/tablecmds.c
@@ -1029,6 +1029,8 @@ DefineRelation(CreateStmt *stmt, char relkind, Oid ownerId,
}
}
+ TupleDescFinalize(descriptor);
+
/*
* For relations with table AM and partitioned tables, select access
* method to use: an explicitly indicated one, or (in the case of a
@@ -1447,6 +1449,8 @@ BuildDescForRelation(const List *columns)
populate_compact_attribute(desc, attnum - 1);
}
+ TupleDescFinalize(desc);
+
return desc;
}
diff --git a/src/backend/executor/execSRF.c b/src/backend/executor/execSRF.c
index a03fe780a02..3267f129b60 100644
--- a/src/backend/executor/execSRF.c
+++ b/src/backend/executor/execSRF.c
@@ -272,6 +272,7 @@ ExecMakeTableFunctionResult(SetExprState *setexpr,
funcrettype,
-1,
0);
+ TupleDescFinalize(tupdesc);
rsinfo.setDesc = tupdesc;
}
MemoryContextSwitchTo(oldcontext);
@@ -776,6 +777,7 @@ init_sexpr(Oid foid, Oid input_collation, Expr *node,
funcrettype,
-1,
0);
+ TupleDescFinalize(tupdesc);
sexpr->funcResultDesc = tupdesc;
sexpr->funcReturnsTuple = false;
}
diff --git a/src/backend/executor/execTuples.c b/src/backend/executor/execTuples.c
index b0dc2cfa66f..6d33f494a70 100644
--- a/src/backend/executor/execTuples.c
+++ b/src/backend/executor/execTuples.c
@@ -992,118 +992,6 @@ tts_buffer_heap_store_tuple(TupleTableSlot *slot, HeapTuple tuple,
}
}
-/*
- * slot_deform_heap_tuple_internal
- * An always inline helper function for use in slot_deform_heap_tuple to
- * allow the compiler to emit specialized versions of this function for
- * various combinations of "slow" and "hasnulls". For example, if a
- * given tuple has no nulls, then we needn't check "hasnulls" for every
- * attribute that we're deforming. The caller can just call this
- * function with hasnulls set to constant-false and have the compiler
- * remove the constant-false branches and emit more optimal code.
- *
- * Returns the next attnum to deform, which can be equal to natts when the
- * function manages to deform all requested attributes. *offp is an input and
- * output parameter which is the byte offset within the tuple to start deforming
- * from which, on return, gets set to the offset where the next attribute
- * should be deformed from. *slowp is set to true when subsequent deforming
- * of this tuple must use a version of this function with "slow" passed as
- * true.
- *
- * Callers cannot assume when we return "attnum" (i.e. all requested
- * attributes have been deformed) that slow mode isn't required for any
- * additional deforming as the final attribute may have caused a switch to
- * slow mode.
- */
-static pg_attribute_always_inline int
-slot_deform_heap_tuple_internal(TupleTableSlot *slot, HeapTuple tuple,
- int attnum, int natts, bool slow,
- bool hasnulls, uint32 *offp, bool *slowp)
-{
- TupleDesc tupleDesc = slot->tts_tupleDescriptor;
- Datum *values = slot->tts_values;
- bool *isnull = slot->tts_isnull;
- HeapTupleHeader tup = tuple->t_data;
- char *tp; /* ptr to tuple data */
- bits8 *bp = tup->t_bits; /* ptr to null bitmap in tuple */
- bool slownext = false;
-
- tp = (char *) tup + tup->t_hoff;
-
- for (; attnum < natts; attnum++)
- {
- CompactAttribute *thisatt = TupleDescCompactAttr(tupleDesc, attnum);
-
- if (hasnulls && att_isnull(attnum, bp))
- {
- values[attnum] = (Datum) 0;
- isnull[attnum] = true;
- if (!slow)
- {
- *slowp = true;
- return attnum + 1;
- }
- else
- continue;
- }
-
- isnull[attnum] = false;
-
- /* calculate the offset of this attribute */
- if (!slow && thisatt->attcacheoff >= 0)
- *offp = thisatt->attcacheoff;
- else if (thisatt->attlen == -1)
- {
- /*
- * We can only cache the offset for a varlena attribute if the
- * offset is already suitably aligned, so that there would be no
- * pad bytes in any case: then the offset will be valid for either
- * an aligned or unaligned value.
- */
- if (!slow && *offp == att_nominal_alignby(*offp, thisatt->attalignby))
- thisatt->attcacheoff = *offp;
- else
- {
- *offp = att_pointer_alignby(*offp,
- thisatt->attalignby,
- -1,
- tp + *offp);
-
- if (!slow)
- slownext = true;
- }
- }
- else
- {
- /* not varlena, so safe to use att_nominal_alignby */
- *offp = att_nominal_alignby(*offp, thisatt->attalignby);
-
- if (!slow)
- thisatt->attcacheoff = *offp;
- }
-
- values[attnum] = fetchatt(thisatt, tp + *offp);
-
- *offp = att_addlength_pointer(*offp, thisatt->attlen, tp + *offp);
-
- /* check if we need to switch to slow mode */
- if (!slow)
- {
- /*
- * We're unable to deform any further if the above code set
- * 'slownext', or if this isn't a fixed-width attribute.
- */
- if (slownext || thisatt->attlen <= 0)
- {
- *slowp = true;
- return attnum + 1;
- }
- }
- }
-
- return natts;
-}
-
/*
* slot_deform_heap_tuple
* Given a TupleTableSlot, extract data from the slot's physical tuple
@@ -1122,78 +1010,165 @@ static pg_attribute_always_inline void
slot_deform_heap_tuple(TupleTableSlot *slot, HeapTuple tuple, uint32 *offp,
int natts)
{
+ CompactAttribute *cattr;
+ TupleDesc tupleDesc = slot->tts_tupleDescriptor;
bool hasnulls = HeapTupleHasNulls(tuple);
+ HeapTupleHeader tup = tuple->t_data;
+ bits8 *bp; /* ptr to null bitmap in tuple */
int attnum;
+ int firstNonCacheOffsetAttr;
+
+/* #define OPTIMIZE_BYVAL */
+#ifdef OPTIMIZE_BYVAL
+ int firstByRefAttr;
+#endif
+ int firstNullAttr;
+ Datum *values;
+ bool *isnull;
+ char *tp; /* ptr to tuple data */
uint32 off; /* offset in tuple data */
- bool slow; /* can we use/set attcacheoff? */
/* We can only fetch as many attributes as the tuple has. */
- natts = Min(HeapTupleHeaderGetNatts(tuple->t_data), natts);
+ natts = Min(HeapTupleHeaderGetNatts(tup), natts);
+ attnum = slot->tts_nvalid;
+ firstNonCacheOffsetAttr = Min(tupleDesc->firstNonCachedOffAttr, natts);
+
+ if (hasnulls)
+ {
+ bp = tup->t_bits;
+ firstNullAttr = first_null_attr(bp, natts);
+ firstNonCacheOffsetAttr = Min(firstNonCacheOffsetAttr, firstNullAttr);
+ }
+ else
+ {
+ bp = NULL;
+ firstNullAttr = natts;
+ }
+
+#ifdef OPTIMIZE_BYVAL
+ firstByRefAttr = Min(firstNonCacheOffsetAttr, tupleDesc->firstByRefAttr);
+#endif
+ values = slot->tts_values;
+ isnull = slot->tts_isnull;
+ tp = (char *) tup + tup->t_hoff;
+
+#ifdef OPTIMIZE_BYVAL
/*
- * Check whether the first call for this tuple, and initialize or restore
- * loop state.
+ * Many tuples have leading byval attributes, try and process as many of
+ * those as possible with a special loop that can't handle byref types.
*/
- attnum = slot->tts_nvalid;
- if (attnum == 0)
+ if (attnum < firstByRefAttr)
+ {
+ /* Use do/while as we already know we need to loop at least once. */
+ do
+ {
+ cattr = TupleDescCompactAttr(tupleDesc, attnum);
+
+ Assert(cattr->attcacheoff >= 0);
+
+ /*
+ * Hard code byval == true to allow the compiler to remove the
+ * byval check when inlining fetch_att().
+ */
+ values[attnum] = fetch_att(tp + cattr->attcacheoff, true, cattr->attlen);
+ isnull[attnum] = false;
+ } while (++attnum < firstByRefAttr);
+
+ /*
+ * Point the offset after the end of the last attribute with a cached
+ * offset. We expect the final cached offset attribute to have a
+ * fixed width, so just add the attlen to the attcacheoff.
+ */
+ Assert(cattr->attlen > 0);
+ off = cattr->attcacheoff + cattr->attlen;
+ }
+#endif
+
+ /*
+ * Handle the portion of the tuple that we have cached the offset for up
+ * to the first NULL attribute. The offset is effectively fixed for these
+ * so we can use the CompactAttribute's attcacheoff.
+ */
+ if (attnum < firstNonCacheOffsetAttr)
+ {
+ do
+ {
+ cattr = TupleDescCompactAttr(tupleDesc, attnum);
+
+ Assert(cattr->attcacheoff >= 0);
+
+ values[attnum] = fetchatt(cattr, tp + cattr->attcacheoff);
+ isnull[attnum] = false;
+ } while (++attnum < firstNonCacheOffsetAttr);
+
+ /*
+ * Point the offset after the end of the last attribute with a cached
+ * offset. We expect the final cached offset attribute to have a
+ * fixed width, so just add the attlen to the attcacheoff
+ */
+ Assert(cattr->attlen > 0);
+ off = cattr->attcacheoff + cattr->attlen;
+ }
+ else if (attnum == 0)
{
/* Start from the first attribute */
off = 0;
- slow = false;
}
else
{
/* Restore state from previous execution */
off = *offp;
- slow = TTS_SLOW(slot);
}
/*
- * If 'slow' isn't set, try deforming using deforming code that does not
- * contain any of the extra checks required for non-fixed offset
- * deforming. During deforming, if or when we find a NULL or a variable
- * length attribute, we'll switch to a deforming method which includes the
- * extra code required for non-fixed offset deforming, a.k.a slow mode.
- * Because this is performance critical, we inline
- * slot_deform_heap_tuple_internal passing the 'slow' and 'hasnull'
- * parameters as constants to allow the compiler to emit specialized code
- * with the known-const false comparisons and subsequent branches removed.
+ * Handle any portion of the tuple that doesn't have a fixed offset up
+ * until the first NULL attribute. This loops only differs from the one
+ * after it by the NULL checks.
*/
- if (!slow)
+ for (; attnum < firstNullAttr; attnum++)
{
- /* Tuple without any NULLs? We can skip doing any NULL checking */
- if (!hasnulls)
- attnum = slot_deform_heap_tuple_internal(slot,
- tuple,
- attnum,
- natts,
- false, /* slow */
- false, /* hasnulls */
- &off,
- &slow);
- else
- attnum = slot_deform_heap_tuple_internal(slot,
- tuple,
- attnum,
- natts,
- false, /* slow */
- true, /* hasnulls */
- &off,
- &slow);
+ cattr = TupleDescCompactAttr(tupleDesc, attnum);
+
+ /* align the offset for this attribute */
+ off = att_pointer_alignby(off,
+ cattr->attalignby,
+ cattr->attlen,
+ tp + off);
+
+ values[attnum] = fetchatt(cattr, tp + off);
+ isnull[attnum] = false;
+
+ /* move the offset beyond this attribute */
+ off = att_addlength_pointer(off, cattr->attlen, tp + off);
}
- /* If there's still work to do then we must be in slow mode */
- if (attnum < natts)
+ /*
+ * Now handle any remaining tuples, this time include NULL checks as we're
+ * now at the first NULL attribute.
+ */
+ for (; attnum < natts; attnum++)
{
- /* XXX is it worth adding a separate call when hasnulls is false? */
- attnum = slot_deform_heap_tuple_internal(slot,
- tuple,
- attnum,
- natts,
- true, /* slow */
- hasnulls,
- &off,
- &slow);
+ if (att_isnull(attnum, bp))
+ {
+ values[attnum] = (Datum) 0;
+ isnull[attnum] = true;
+ continue;
+ }
+
+ cattr = TupleDescCompactAttr(tupleDesc, attnum);
+
+ /* align the offset for this attribute */
+ off = att_pointer_alignby(off,
+ cattr->attalignby,
+ cattr->attlen,
+ tp + off);
+
+ values[attnum] = fetchatt(cattr, tp + off);
+ isnull[attnum] = false;
+
+ /* move the offset beyond this attribute */
+ off = att_addlength_pointer(off, cattr->attlen, tp + off);
}
/*
@@ -1201,10 +1176,6 @@ slot_deform_heap_tuple(TupleTableSlot *slot, HeapTuple tuple, uint32 *offp,
*/
slot->tts_nvalid = attnum;
*offp = off;
- if (slow)
- slot->tts_flags |= TTS_FLAG_SLOW;
- else
- slot->tts_flags &= ~TTS_FLAG_SLOW;
}
const TupleTableSlotOps TTSOpsVirtual = {
@@ -2173,6 +2144,8 @@ ExecTypeFromTLInternal(List *targetList, bool skipjunk)
cur_resno++;
}
+ TupleDescFinalize(typeInfo);
+
return typeInfo;
}
@@ -2207,6 +2180,8 @@ ExecTypeFromExprList(List *exprList)
cur_resno++;
}
+ TupleDescFinalize(typeInfo);
+
return typeInfo;
}
diff --git a/src/backend/executor/nodeFunctionscan.c b/src/backend/executor/nodeFunctionscan.c
index af75dd8fc5e..ea19684de2e 100644
--- a/src/backend/executor/nodeFunctionscan.c
+++ b/src/backend/executor/nodeFunctionscan.c
@@ -414,6 +414,7 @@ ExecInitFunctionScan(FunctionScan *node, EState *estate, int eflags)
TupleDescInitEntryCollation(tupdesc,
(AttrNumber) 1,
exprCollation(funcexpr));
+ TupleDescFinalize(tupdesc);
}
else
{
@@ -485,6 +486,7 @@ ExecInitFunctionScan(FunctionScan *node, EState *estate, int eflags)
0);
}
+ TupleDescFinalize(scan_tupdesc);
Assert(attno == natts);
}
diff --git a/src/backend/parser/parse_relation.c b/src/backend/parser/parse_relation.c
index dd64f45478a..23cbb92d859 100644
--- a/src/backend/parser/parse_relation.c
+++ b/src/backend/parser/parse_relation.c
@@ -1891,6 +1891,7 @@ addRangeTableEntryForFunction(ParseState *pstate,
TupleDescInitEntryCollation(tupdesc,
(AttrNumber) 1,
exprCollation(funcexpr));
+ TupleDescFinalize(tupdesc);
}
else if (functypclass == TYPEFUNC_RECORD)
{
@@ -1948,6 +1949,7 @@ addRangeTableEntryForFunction(ParseState *pstate,
i++;
}
+ TupleDescFinalize(tupdesc);
/*
* Ensure that the coldeflist defines a legal set of names (no
@@ -2016,7 +2018,7 @@ addRangeTableEntryForFunction(ParseState *pstate,
0);
/* no need to set collation */
}
-
+ TupleDescFinalize(tupdesc);
Assert(natts == totalatts);
}
else
diff --git a/src/backend/parser/parse_target.c b/src/backend/parser/parse_target.c
index 905c975d83b..f0387166279 100644
--- a/src/backend/parser/parse_target.c
+++ b/src/backend/parser/parse_target.c
@@ -1570,6 +1570,8 @@ expandRecordVariable(ParseState *pstate, Var *var, int levelsup)
}
Assert(lname == NULL && lvar == NULL); /* lists same length? */
+ TupleDescFinalize(tupleDesc);
+
return tupleDesc;
}
diff --git a/src/backend/replication/libpqwalreceiver/libpqwalreceiver.c b/src/backend/replication/libpqwalreceiver/libpqwalreceiver.c
index 5ddc9e812e7..75a33ea6ada 100644
--- a/src/backend/replication/libpqwalreceiver/libpqwalreceiver.c
+++ b/src/backend/replication/libpqwalreceiver/libpqwalreceiver.c
@@ -1049,6 +1049,7 @@ libpqrcv_processTuples(PGresult *pgres, WalRcvExecResult *walres,
TupleDescInitEntry(walres->tupledesc, (AttrNumber) coln + 1,
PQfname(pgres, coln), retTypes[coln], -1, 0);
attinmeta = TupleDescGetAttInMetadata(walres->tupledesc);
+ TupleDescFinalize(walres->tupledesc);
/* No point in doing more here if there were no tuples returned. */
if (PQntuples(pgres) == 0)
diff --git a/src/backend/replication/walsender.c b/src/backend/replication/walsender.c
index 96cede8f45a..364ae7a3ee1 100644
--- a/src/backend/replication/walsender.c
+++ b/src/backend/replication/walsender.c
@@ -452,6 +452,7 @@ IdentifySystem(void)
TEXTOID, -1, 0);
TupleDescInitBuiltinEntry(tupdesc, (AttrNumber) 4, "dbname",
TEXTOID, -1, 0);
+ TupleDescFinalize(tupdesc);
/* prepare for projection of tuples */
tstate = begin_tup_output_tupdesc(dest, tupdesc, &TTSOpsVirtual);
@@ -497,6 +498,7 @@ ReadReplicationSlot(ReadReplicationSlotCmd *cmd)
/* TimeLineID is unsigned, so int4 is not wide enough. */
TupleDescInitBuiltinEntry(tupdesc, (AttrNumber) 3, "restart_tli",
INT8OID, -1, 0);
+ TupleDescFinalize(tupdesc);
memset(nulls, true, READ_REPLICATION_SLOT_COLS * sizeof(bool));
@@ -599,6 +601,7 @@ SendTimeLineHistory(TimeLineHistoryCmd *cmd)
tupdesc = CreateTemplateTupleDesc(2);
TupleDescInitBuiltinEntry(tupdesc, (AttrNumber) 1, "filename", TEXTOID, -1, 0);
TupleDescInitBuiltinEntry(tupdesc, (AttrNumber) 2, "content", TEXTOID, -1, 0);
+ TupleDescFinalize(tupdesc);
TLHistoryFileName(histfname, cmd->timeline);
TLHistoryFilePath(path, cmd->timeline);
@@ -1016,6 +1019,7 @@ StartReplication(StartReplicationCmd *cmd)
INT8OID, -1, 0);
TupleDescInitBuiltinEntry(tupdesc, (AttrNumber) 2, "next_tli_startpos",
TEXTOID, -1, 0);
+ TupleDescFinalize(tupdesc);
/* prepare for projection of tuple */
tstate = begin_tup_output_tupdesc(dest, tupdesc, &TTSOpsVirtual);
@@ -1370,6 +1374,7 @@ CreateReplicationSlot(CreateReplicationSlotCmd *cmd)
TEXTOID, -1, 0);
TupleDescInitBuiltinEntry(tupdesc, (AttrNumber) 4, "output_plugin",
TEXTOID, -1, 0);
+ TupleDescFinalize(tupdesc);
/* prepare for projection of tuples */
tstate = begin_tup_output_tupdesc(dest, tupdesc, &TTSOpsVirtual);
diff --git a/src/backend/utils/adt/acl.c b/src/backend/utils/adt/acl.c
index 05d48412f82..3d3ca2185e6 100644
--- a/src/backend/utils/adt/acl.c
+++ b/src/backend/utils/adt/acl.c
@@ -1818,6 +1818,7 @@ aclexplode(PG_FUNCTION_ARGS)
TupleDescInitEntry(tupdesc, (AttrNumber) 4, "is_grantable",
BOOLOID, -1, 0);
+ TupleDescFinalize(tupdesc);
funcctx->tuple_desc = BlessTupleDesc(tupdesc);
/* allocate memory for user context */
diff --git a/src/backend/utils/adt/genfile.c b/src/backend/utils/adt/genfile.c
index 80bb807fbe9..26348513b18 100644
--- a/src/backend/utils/adt/genfile.c
+++ b/src/backend/utils/adt/genfile.c
@@ -454,6 +454,7 @@ pg_stat_file(PG_FUNCTION_ARGS)
"creation", TIMESTAMPTZOID, -1, 0);
TupleDescInitEntry(tupdesc, (AttrNumber) 6,
"isdir", BOOLOID, -1, 0);
+ TupleDescFinalize(tupdesc);
BlessTupleDesc(tupdesc);
memset(isnull, false, sizeof(isnull));
diff --git a/src/backend/utils/adt/lockfuncs.c b/src/backend/utils/adt/lockfuncs.c
index bf38d68aa03..5c0c6dda7c5 100644
--- a/src/backend/utils/adt/lockfuncs.c
+++ b/src/backend/utils/adt/lockfuncs.c
@@ -146,6 +146,7 @@ pg_lock_status(PG_FUNCTION_ARGS)
TupleDescInitEntry(tupdesc, (AttrNumber) 16, "waitstart",
TIMESTAMPTZOID, -1, 0);
+ TupleDescFinalize(tupdesc);
funcctx->tuple_desc = BlessTupleDesc(tupdesc);
/*
diff --git a/src/backend/utils/adt/orderedsetaggs.c b/src/backend/utils/adt/orderedsetaggs.c
index ac3963fc3e0..2ae1e46fbef 100644
--- a/src/backend/utils/adt/orderedsetaggs.c
+++ b/src/backend/utils/adt/orderedsetaggs.c
@@ -233,6 +233,7 @@ ordered_set_startup(FunctionCallInfo fcinfo, bool use_tuples)
-1,
0);
+ TupleDescFinalize(newdesc);
FreeTupleDesc(qstate->tupdesc);
qstate->tupdesc = newdesc;
}
diff --git a/src/backend/utils/adt/pgstatfuncs.c b/src/backend/utils/adt/pgstatfuncs.c
index a97aa7c73db..b5aebc0f3e6 100644
--- a/src/backend/utils/adt/pgstatfuncs.c
+++ b/src/backend/utils/adt/pgstatfuncs.c
@@ -769,6 +769,7 @@ pg_stat_get_backend_subxact(PG_FUNCTION_ARGS)
TupleDescInitEntry(tupdesc, (AttrNumber) 2, "subxact_overflow",
BOOLOID, -1, 0);
+ TupleDescFinalize(tupdesc);
BlessTupleDesc(tupdesc);
if ((local_beentry = pgstat_get_local_beentry_by_proc_number(procNumber)) != NULL)
@@ -1658,6 +1659,7 @@ pg_stat_wal_build_tuple(PgStat_WalCounters wal_counters,
TupleDescInitEntry(tupdesc, (AttrNumber) 6, "stats_reset",
TIMESTAMPTZOID, -1, 0);
+ TupleDescFinalize(tupdesc);
BlessTupleDesc(tupdesc);
/* Fill values and NULLs */
@@ -2085,6 +2087,7 @@ pg_stat_get_archiver(PG_FUNCTION_ARGS)
TupleDescInitEntry(tupdesc, (AttrNumber) 7, "stats_reset",
TIMESTAMPTZOID, -1, 0);
+ TupleDescFinalize(tupdesc);
BlessTupleDesc(tupdesc);
/* Get statistics about the archiver process */
@@ -2166,6 +2169,7 @@ pg_stat_get_replication_slot(PG_FUNCTION_ARGS)
TIMESTAMPTZOID, -1, 0);
TupleDescInitEntry(tupdesc, (AttrNumber) 13, "stats_reset",
TIMESTAMPTZOID, -1, 0);
+ TupleDescFinalize(tupdesc);
BlessTupleDesc(tupdesc);
namestrcpy(&slotname, text_to_cstring(slotname_text));
@@ -2253,6 +2257,7 @@ pg_stat_get_subscription_stats(PG_FUNCTION_ARGS)
INT8OID, -1, 0);
TupleDescInitEntry(tupdesc, (AttrNumber) 13, "stats_reset",
TIMESTAMPTZOID, -1, 0);
+ TupleDescFinalize(tupdesc);
BlessTupleDesc(tupdesc);
if (!subentry)
diff --git a/src/backend/utils/adt/tsvector_op.c b/src/backend/utils/adt/tsvector_op.c
index b809089ac5d..78592499b0c 100644
--- a/src/backend/utils/adt/tsvector_op.c
+++ b/src/backend/utils/adt/tsvector_op.c
@@ -651,6 +651,7 @@ tsvector_unnest(PG_FUNCTION_ARGS)
TEXTARRAYOID, -1, 0);
if (get_call_result_type(fcinfo, NULL, &tupdesc) != TYPEFUNC_COMPOSITE)
elog(ERROR, "return type must be a row type");
+ TupleDescFinalize(tupdesc);
funcctx->tuple_desc = tupdesc;
funcctx->user_fctx = PG_GETARG_TSVECTOR_COPY(0);
diff --git a/src/backend/utils/cache/relcache.c b/src/backend/utils/cache/relcache.c
index 2d0cb7bcfd4..642c4b96297 100644
--- a/src/backend/utils/cache/relcache.c
+++ b/src/backend/utils/cache/relcache.c
@@ -666,14 +666,6 @@ RelationBuildTupleDesc(Relation relation)
elog(ERROR, "pg_attribute catalog is missing %d attribute(s) for relation OID %u",
need, RelationGetRelid(relation));
- /*
- * We can easily set the attcacheoff value for the first attribute: it
- * must be zero. This eliminates the need for special cases for attnum=1
- * that used to exist in fastgetattr() and index_getattr().
- */
- if (RelationGetNumberOfAttributes(relation) > 0)
- TupleDescCompactAttr(relation->rd_att, 0)->attcacheoff = 0;
-
/*
* Set up constraint/default info
*/
@@ -729,6 +721,8 @@ RelationBuildTupleDesc(Relation relation)
pfree(constr);
relation->rd_att->constr = NULL;
}
+
+ TupleDescFinalize(relation->rd_att);
}
/*
@@ -1988,8 +1982,7 @@ formrdesc(const char *relationName, Oid relationReltype,
populate_compact_attribute(relation->rd_att, i);
}
- /* initialize first attribute's attcacheoff, cf RelationBuildTupleDesc */
- TupleDescCompactAttr(relation->rd_att, 0)->attcacheoff = 0;
+ TupleDescFinalize(relation->rd_att);
/* mark not-null status */
if (has_not_null)
@@ -3693,6 +3686,8 @@ RelationBuildLocalRelation(const char *relname,
for (i = 0; i < natts; i++)
TupleDescAttr(rel->rd_att, i)->attrelid = relid;
+ TupleDescFinalize(rel->rd_att);
+
rel->rd_rel->reltablespace = reltablespace;
if (mapped_relation)
@@ -4446,8 +4441,7 @@ BuildHardcodedDescriptor(int natts, const FormData_pg_attribute *attrs)
populate_compact_attribute(result, i);
}
- /* initialize first attribute's attcacheoff, cf RelationBuildTupleDesc */
- TupleDescCompactAttr(result, 0)->attcacheoff = 0;
+ TupleDescFinalize(result);
/* Note: we don't bother to set up a TupleConstr entry */
@@ -6273,6 +6267,8 @@ load_relcache_init_file(bool shared)
populate_compact_attribute(rel->rd_att, i);
}
+ TupleDescFinalize(rel->rd_att);
+
/* next read the access method specific field */
if (fread(&len, 1, sizeof(len), fp) != sizeof(len))
goto read_failed;
diff --git a/src/backend/utils/fmgr/funcapi.c b/src/backend/utils/fmgr/funcapi.c
index f40879f0617..a98bc9f9e4f 100644
--- a/src/backend/utils/fmgr/funcapi.c
+++ b/src/backend/utils/fmgr/funcapi.c
@@ -340,6 +340,8 @@ get_expr_result_type(Node *expr,
exprCollation(col));
i++;
}
+ TupleDescFinalize(tupdesc);
+
if (resultTypeId)
*resultTypeId = rexpr->row_typeid;
if (resultTupleDesc)
@@ -1044,6 +1046,7 @@ resolve_polymorphic_tupdesc(TupleDesc tupdesc, oidvector *declared_args,
}
}
+ TupleDescFinalize(tupdesc);
return true;
}
@@ -1853,6 +1856,8 @@ build_function_result_tupdesc_d(char prokind,
0);
}
+ TupleDescFinalize(desc);
+
return desc;
}
@@ -1970,6 +1975,7 @@ TypeGetTupleDesc(Oid typeoid, List *colaliases)
typeoid,
-1,
0);
+ TupleDescFinalize(tupdesc);
}
else if (functypclass == TYPEFUNC_RECORD)
{
diff --git a/src/backend/utils/init/postinit.c b/src/backend/utils/init/postinit.c
index b7e94ca45bd..afbcb8193a5 100644
--- a/src/backend/utils/init/postinit.c
+++ b/src/backend/utils/init/postinit.c
@@ -718,6 +718,7 @@ InitPostgres(const char *in_dbname, Oid dboid,
char dbname[NAMEDATALEN];
int nfree = 0;
+ /* pg_usleep(10000000); */
elog(DEBUG3, "InitPostgres");
/*
diff --git a/src/backend/utils/misc/guc_funcs.c b/src/backend/utils/misc/guc_funcs.c
index 9dbc5d3aeb9..554f20f61d1 100644
--- a/src/backend/utils/misc/guc_funcs.c
+++ b/src/backend/utils/misc/guc_funcs.c
@@ -444,6 +444,7 @@ GetPGVariableResultDesc(const char *name)
TupleDescInitEntry(tupdesc, (AttrNumber) 1, varname,
TEXTOID, -1, 0);
}
+ TupleDescFinalize(tupdesc);
return tupdesc;
}
@@ -465,6 +466,7 @@ ShowGUCConfigOption(const char *name, DestReceiver *dest)
tupdesc = CreateTemplateTupleDesc(1);
TupleDescInitBuiltinEntry(tupdesc, (AttrNumber) 1, varname,
TEXTOID, -1, 0);
+ TupleDescFinalize(tupdesc);
/* prepare for projection of tuples */
tstate = begin_tup_output_tupdesc(dest, tupdesc, &TTSOpsVirtual);
@@ -499,6 +501,7 @@ ShowAllGUCConfig(DestReceiver *dest)
TEXTOID, -1, 0);
TupleDescInitBuiltinEntry(tupdesc, (AttrNumber) 3, "description",
TEXTOID, -1, 0);
+ TupleDescFinalize(tupdesc);
/* prepare for projection of tuples */
tstate = begin_tup_output_tupdesc(dest, tupdesc, &TTSOpsVirtual);
@@ -939,6 +942,8 @@ show_all_settings(PG_FUNCTION_ARGS)
* C strings
*/
attinmeta = TupleDescGetAttInMetadata(tupdesc);
+ TupleDescFinalize(tupdesc);
+
funcctx->attinmeta = attinmeta;
/* collect the variables, in sorted order */
diff --git a/src/include/access/htup_details.h b/src/include/access/htup_details.h
index f3593acc8c2..0901950b206 100644
--- a/src/include/access/htup_details.h
+++ b/src/include/access/htup_details.h
@@ -865,20 +865,17 @@ extern MinimalTuple minimal_expand_tuple(HeapTuple sourceTuple, TupleDesc tupleD
static inline Datum
fastgetattr(HeapTuple tup, int attnum, TupleDesc tupleDesc, bool *isnull)
{
- Assert(attnum > 0);
+ CompactAttribute *att = TupleDescCompactAttr(tupleDesc, attnum - 1);
+ Assert(attnum > 0);
*isnull = false;
- if (HeapTupleNoNulls(tup))
- {
- CompactAttribute *att;
- att = TupleDescCompactAttr(tupleDesc, attnum - 1);
- if (att->attcacheoff >= 0)
- return fetchatt(att, (char *) tup->t_data + tup->t_data->t_hoff +
- att->attcacheoff);
- else
- return nocachegetattr(tup, attnum, tupleDesc);
- }
+ if (att->attcacheoff >= 0 && !HeapTupleHasNulls(tup))
+ return fetchatt(att, (char *) tup->t_data + tup->t_data->t_hoff +
+ att->attcacheoff);
+
+ if (HeapTupleNoNulls(tup))
+ return nocachegetattr(tup, attnum, tupleDesc);
else
{
if (att_isnull(attnum - 1, tup->t_data->t_bits))
diff --git a/src/include/access/itup.h b/src/include/access/itup.h
index 4ba928c7132..d52e8cd2a83 100644
--- a/src/include/access/itup.h
+++ b/src/include/access/itup.h
@@ -131,24 +131,20 @@ IndexInfoFindDataOffset(unsigned short t_info)
static inline Datum
index_getattr(IndexTuple tup, int attnum, TupleDesc tupleDesc, bool *isnull)
{
+ CompactAttribute *attr = TupleDescCompactAttr(tupleDesc, attnum - 1);
+
Assert(isnull);
Assert(attnum > 0);
*isnull = false;
- if (!IndexTupleHasNulls(tup))
- {
- CompactAttribute *attr = TupleDescCompactAttr(tupleDesc, attnum - 1);
+ if (attr->attcacheoff >= 0 && !IndexTupleHasNulls(tup))
+ return fetchatt(attr,
+ (char *) tup + IndexInfoFindDataOffset(tup->t_info) +
+ attr->attcacheoff);
- if (attr->attcacheoff >= 0)
- {
- return fetchatt(attr,
- (char *) tup + IndexInfoFindDataOffset(tup->t_info) +
- attr->attcacheoff);
- }
- else
- return nocache_index_getattr(tup, attnum, tupleDesc);
- }
+ if (!IndexTupleHasNulls(tup))
+ return nocache_index_getattr(tup, attnum, tupleDesc);
else
{
if (att_isnull(attnum - 1, (bits8 *) tup + sizeof(IndexTupleData)))
diff --git a/src/include/access/tupdesc.h b/src/include/access/tupdesc.h
index a25b94ba423..dca20301b7f 100644
--- a/src/include/access/tupdesc.h
+++ b/src/include/access/tupdesc.h
@@ -131,6 +131,12 @@ typedef struct CompactAttribute
* Any code making changes manually to and fields in the FormData_pg_attribute
* array must subsequently call populate_compact_attribute() to flush the
* changes out to the corresponding 'compact_attrs' element.
+ *
+ * firstNonCachedOffAttr stores the index into the compact_attrs array for the
+ * first attribute that we don't have a known attcacheoff for.
+ *
+ * Once a TupleDesc has been populated, before it is used for any purpose
+ * TupleDescFinalize() must be called on it.
*/
typedef struct TupleDescData
{
@@ -138,6 +144,10 @@ typedef struct TupleDescData
Oid tdtypeid; /* composite type ID for tuple type */
int32 tdtypmod; /* typmod for tuple type */
int tdrefcount; /* reference count, or -1 if not counting */
+ int firstNonCachedOffAttr; /* index of last att with an
+ * attcacheoff */
+ int firstByRefAttr; /* index of the first attr with !attbyval, or
+ * natts if none. */
TupleConstr *constr; /* constraints, or NULL if none */
/* compact_attrs[N] is the compact metadata of Attribute Number N+1 */
CompactAttribute compact_attrs[FLEXIBLE_ARRAY_MEMBER];
@@ -205,6 +215,8 @@ extern void TupleDescCopy(TupleDesc dst, TupleDesc src);
extern void TupleDescCopyEntry(TupleDesc dst, AttrNumber dstAttno,
TupleDesc src, AttrNumber srcAttno);
+extern void TupleDescFinalize(TupleDesc tupdesc);
+
extern void FreeTupleDesc(TupleDesc tupdesc);
extern void IncrTupleDescRefCount(TupleDesc tupdesc);
diff --git a/src/include/access/tupmacs.h b/src/include/access/tupmacs.h
index 84b3e7fd896..d6ab90bbde1 100644
--- a/src/include/access/tupmacs.h
+++ b/src/include/access/tupmacs.h
@@ -15,6 +15,7 @@
#define TUPMACS_H
#include "catalog/pg_type_d.h" /* for TYPALIGN macros */
+#include "port/pg_bitutils.h"
/*
@@ -69,6 +70,62 @@ fetch_att(const void *T, bool attbyval, int attlen)
else
return PointerGetDatum(T);
}
+
+/*
+ * first_null_attr
+ * Inspect a NULL bitmask from a tuple and return the 0-based attnum of the
+ * first NULL attribute. Returns natts if no NULLs were found.
+ */
+static inline int
+first_null_attr(const bits8 *bits, int natts)
+{
+ int lastByte = natts >> 3;
+ uint8 mask;
+ int res = natts;
+ uint8 byte;
+
+#ifdef USE_ASSERT_CHECKING
+ int firstnull_check = natts;
+
+ /* Do it the slow way and check we get the same answer. */
+ for (int i = 0; i < natts; i++)
+ {
+ if (att_isnull(i, bits))
+ {
+ firstnull_check = i;
+ break;
+ }
+ }
+#endif
+
+ /* Process all bytes up to just before the byte for the natts index */
+ for (int bytenum = 0; bytenum < lastByte; bytenum++)
+ {
+ if (bits[bytenum] != 0xFF)
+ {
+ byte = ~bits[bytenum];
+ res = bytenum * 8;
+ res += pg_rightmost_one_pos[byte];
+
+ Assert(res == firstnull_check);
+ return res;
+ }
+ }
+
+ /* Create a mask with all bits beyond natts's bit set to off */
+ mask = 0xFF & ((((uint8) 1) << (natts & 7)) - 1);
+ byte = (~bits[lastByte]) & mask;
+
+ if (byte != 0)
+ {
+ res = lastByte * 8;
+ res += pg_rightmost_one_pos[byte];
+ }
+
+ Assert(res == firstnull_check);
+
+ return res;
+}
#endif /* FRONTEND */
/*
diff --git a/src/include/executor/tuptable.h b/src/include/executor/tuptable.h
index 43f1d999b91..ff3ebbc76b9 100644
--- a/src/include/executor/tuptable.h
+++ b/src/include/executor/tuptable.h
@@ -84,9 +84,6 @@
* tts_values/tts_isnull are allocated either when the slot is created (when
* the descriptor is provided), or when a descriptor is assigned to the slot;
* they are of length equal to the descriptor's natts.
- *
- * The TTS_FLAG_SLOW flag is saved state for
- * slot_deform_heap_tuple, and should not be touched by any other code.
*----------
*/
@@ -98,12 +95,8 @@
#define TTS_FLAG_SHOULDFREE (1 << 2)
#define TTS_SHOULDFREE(slot) (((slot)->tts_flags & TTS_FLAG_SHOULDFREE) != 0)
-/* saved state for slot_deform_heap_tuple */
-#define TTS_FLAG_SLOW (1 << 3)
-#define TTS_SLOW(slot) (((slot)->tts_flags & TTS_FLAG_SLOW) != 0)
-
/* fixed tuple descriptor */
-#define TTS_FLAG_FIXED (1 << 4)
+#define TTS_FLAG_FIXED (1 << 4) /* XXX change to #3? */
#define TTS_FIXED(slot) (((slot)->tts_flags & TTS_FLAG_FIXED) != 0)
struct TupleTableSlotOps;
diff --git a/src/pl/plpgsql/src/pl_comp.c b/src/pl/plpgsql/src/pl_comp.c
index 4d90a0c2f06..ace4f5f03c0 100644
--- a/src/pl/plpgsql/src/pl_comp.c
+++ b/src/pl/plpgsql/src/pl_comp.c
@@ -1912,6 +1912,8 @@ build_row_from_vars(PLpgSQL_variable **vars, int numvars)
TupleDescInitEntryCollation(row->rowtupdesc, i + 1, typcoll);
}
+ TupleDescFinalize(row->rowtupdesc);
+
return row;
}
diff --git a/src/test/modules/test_predtest/test_predtest.c b/src/test/modules/test_predtest/test_predtest.c
index be5b8c40914..9911fbe642b 100644
--- a/src/test/modules/test_predtest/test_predtest.c
+++ b/src/test/modules/test_predtest/test_predtest.c
@@ -230,6 +230,7 @@ test_predtest(PG_FUNCTION_ARGS)
"s_r_holds", BOOLOID, -1, 0);
TupleDescInitEntry(tupdesc, (AttrNumber) 8,
"w_r_holds", BOOLOID, -1, 0);
+ TupleDescFinalize(tupdesc);
tupdesc = BlessTupleDesc(tupdesc);
values[0] = BoolGetDatum(strong_implied_by);
--
2.43.0
amd3990x_clang_results.gifimage/gif; name=amd3990x_clang_results.gifDownload
GIF89a� L� 3 f � � � + +3 +f +� +� +� U U3 Uf U� U� U� � �3 �f �� �� �� � �3 �f �� �� �� � �3 �f �� �� �� � �3 �f �� �� ��3 3 33 f3 �3 �3 �3+ 3+33+f3+�3+�3+�3U 3U33Uf3U�3U�3U�3� 3�33�f3��3��3��3� 3�33�f3��3��3��3� 3�33�f3��3��3��3� 3�33�f3��3��3��f f 3f ff �f �f �f+ f+3f+ff+�f+�f+�fU fU3fUffU�fU�fU�f� f�3f�ff��f��f��f� f�3f�ff��f��f��f� f�3f�ff��f��f��f� f�3f�ff��f��f��� � 3� f� �� �� ��+ �+3�+f�+��+��+��U �U3�Uf�U��U��U��� ��3��f����������� ��3��f����������� ��3��f����������� ��3��f���������� � 3� f� �� �� ��+ �+3�+f�+��+��+��U �U3�Uf�U��U��U��� ��3��f����������� ��3��f����������� ��3��f����������� ��3��f���������� � 3� f� �� �� ��+ �+3�+f�+��+��+��U �U3�Uf�U��U��U��� ��3��f����������� ��3��f����������� ��3��f����������� ��3��f��������� !� � , � L � � H����*\�����#J�H����3j������ C�I����(S�\�����0c�$����8s�������@�
J����H�*]�����P�J�J����''a������`��K����h��]�����p���Hs���x���������L�����y�M������#K�HL�����3k��V+���C�M�����S�^������c��M�����s���;�����N������+_��5����K�:N����������������O�������_���������O�;���������������h7��&���P����F(��Vh�^���v��� ����"�h��(����,�a�0�(���4�$F7��`&8��b����X���#1Nb�
H���v��$AK���A<)�2��Xe��p�T&b\I�_Z�F=�)9%�����3���A^���2y.)F&l.U�b����8�!$b��P(W�(i�����e�h��si�=�I��[Z��>������(���o*d���M�(����Y�#�@}�
������A�p�j��4r��i��7,JT�h�h����L�V�ceh���zJb�V�j�)����.�)�a�j&����������U��fZ���/����$�u))F��$��A�B;j�M�I�@d������B$��@|j<*�S,��"�,p�#�F�����<���5��'7����hm���:
,�1A]�� F��We�!VBc1;KM��z�
.Ah��'���@|��5I�Z��\��q����&1d���.4h}t��ra&���=������t�(f��Nr���[7��'�d��\�.��k����fB����
�.���������j>���_��I�s<���TO�
5����,S�n+��������������C�3��7�������2���������������#)��lx�����"�K$�;��<�e�/!�p��d�<��O$����4B����������ABa)v�������)�.�
�Fu���Hls�^c5�=!��2�U([��������w<�
$U�"����Ef�n2S����%VNN���:���in ���:���5 lF�I&&!��X�|�S"
�%�I�����D�qg����� )����Eh�������,�p�+!w��)�|�S����"���5�G��{������7��!��rdZ*M�e%.�*px�^�C�4*����f�H���\p��B%>�I�Bc���%� �w�K�k��>R��`&�G!���.���� B��e�S�L���f�&9�ns,R#��+�%�J�4���6�>�H��B i�C~��D��; �Eg��m1��4�Mm���t�VMx"��`���x&��R��K��z��A:GR�J�H����%�P�$%w���GQ�JnJ�;9��<�OJ QLE�L���e�\)P9�>� ua\�W'%� [:)��X)m!�V�)�5����UT)-c_!'������BB/
���Dc�,ET�I���R�Z�*q�|Z-�-j����Mb5�QVy�d�Wt���B�U�5��������4�a�d�Rn�KW��d!���^2w�kd�Q�r���Y���(^j�V`[����d?��dwK���KT"�;HcSm���G�i�����HP���r�;�
�;.��gm����JI�*��������������/,~�hD��������[w����6W�)�����4$���nZ�m���*����\b�@������G��\�r�:�)w��Y�@��S�NVT=kX��
�[3YrP�8���,�>�����m����].6���+��(�nJq���X��8�:������|����Jtbf��Y?�:�� i��w��P3�Ya�#c��#h��v�1�:/����v�}\���[�
w�����Hf;W'�t{����)�8L�f��>�Q���-
F��>j��T��sLnd����-�~�l9g�Mn�=���Z���R{;����j O4t�e��P�����%:�����L}b��*G
n1].����G��6{���,Q��J���<U���r ����]6S�i��B���i���-���^c����%����V�}-�F��J��&�����}kW5���J6��������\J���SB���}p������r��n�J1���~��e�������[����?��S�{����I��K����C�T���r�\��L��-�s.&����S
��b���k]vJ����NH����w�AO%%f��Q+����)���}S
3Dm�6���t���ew��]�c������[m~�������_�jx��Wz�v��%���D���pJ�V2tO�LB��,d3�'6��Wv�� � ,��X#�{��2<�cf�h�g4�Bu\�\qT_7�J��0��k"s<b�l�"2)75�VW���&uSX4u2��O�e'�Gr��S(O�W\:����)�#sz�v@�$�5nF�-9$A�SRE�L��3S�Uup��u*Hk�tT�$.x,86��Fv�D�EX�|&g��KH1iH���;f!_�d�� Nu�O����cg36f�Bq�iQV-X�Rfc,��/^��Whi^(+���@Hv����y�2<��kz�RT��fw������RHt���;bs��',�Hd5.D�#����G�����a�t.4 �&z�h�5S}������c'�8��o�cL�7(xFPX2�6hX��K�(O��@g�4�w}�Eth&�&d�uN����k���$�VG�2;F}�E�b'`�W0�Cn�}sH7��'��i
�b�2@hd��k 1��T�T�[�.W=/f\�p
Y:��2?HR�0��#.SCF�h��F���KIH"��s%����,�_9��<���w#KyW��.�gz5sd�������X2I1��yW�~]�,�49��k��h��S'������g!�����&��]rW��/pd��Dd�EW;Xq���g5�b��zAXs��W��aj�tq7?����U1p+X)�|�Y%\��E����H8w�Q�%��D\���U�'�r���c5�d�l�D�d��F $M���� ��bCUbZ��&'S��X���V4o�0u�_�������%��M~�l�vs�Q$����j��q��K���Y q�����SHs^y�b]��HD�V�m�K*�j�Bsa[qts�x���������z���v��rC���f�
�����{����(���]5 j) ��~�,L6���4yc�&jK����h�i�|�UCES�%u�Swd�G1'g�1:��7}�"I�� 9e,��
��O���n&,���H�IG2s0��m`��N��:7�FS2���RR��@�� ��k�6��f~����E�i�GF�T'��N���6O�sD��Z�S�������97��Y��hE{�����X��(|$6z63��X����k�M��#awFAS��X�83�E�SRhy62��IY����2A�w3�)&����2�62�w=@��=����&4"�p�U��c% (4d�B�vy8z��&H��r���z��D��|
�s�����m�H��8�?X������i�:��hV4xoqj�yXp��'C����#_Q�,����su��Jz��):di�HgM6g�{h�A'W�Z{� �8�S�0+P�iJ<�#.����t%�����9��E���Y��-9��z8�(4��c��U+S�P���o��X����f&2k�DkV��Mq�s����-��4E�5�J�r��\�&k�6�@��w?��27;��7h5�;��,��}��|o���b���2�����#N������R��!�J�_X��H����y�t�����'�7Wbr( 9�!��1��4�R-�0=��sS�D�i��29{� ���i��=����jp��F����
��!���W�H[f
S������ZXPY�Niw6�dP�C���V�����J$E��O
���Qf��{�9d$�q��+��h�}�x��fi�����i3�N���1��h�4���`j����jh�g�F)�k��1�C]��t��v���q��=��h�5|�B6���85�?�3?�)\0L�*�(7g�1��tM9��MJu4�H��(Q�Gq vC�bE�G���r.�������6�p���$ 7|Xd�� ���6dE���S(��;��4�wf�5�+���>'f�*�2��l���}����{�k����^V)��2'�Lk�:�59�b���?����Q"
L�du�(XK���9$6^|ib��jtX��������#9�/�F� 4Yz1��kE�e�#�l����953�rg�::M�EMRV=�TK�S�F���Wrk�T��>�<��.�\uk�����t����[��Es�e��\Q�X��[K�k�3gY��2Dx8����.��
���o�*��S&z�����#X�t�+�eU7��s#�2L]�8�s��K�����L
�(Sb�MMW�/��q3�At,����B��i.�P@�4m�d5����$;�8����������i�3V����4��]q�\/���}���,�)4B0���F�|��M�'I��w�[7We]�a����OG�������b=w�JV5�m������Ix���f��<��/����5�bc�"c���e��ZRLy)n��3!~5A��@��,3�H�Dx�
f�4���)Lr��UQ|�/aT$��*9Y��57��-5�����#��T8b��E����%�<��/t��t'�Dd��174�M�nnPB5�3H+
kH�T-�}�9[�R/`BIHT@���8�5�*��(��W4�)�$���$��%�"��RED68�S��N�@@�#xI� A�4FR�:x����v2b��'